अनुपात-समानुपात Part-7

Total Questions: 50

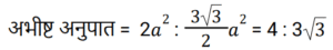
41. किसी वृत्त के अंदर निर्मित सम षट्कोण और वर्ग के क्षेत्रफलों का अनुपात क्या होगा? [RRB ALP 13/08/2018 (Afternoon)]

Correct Answer: (c) 4 : 3√3
Solution:

42. किसी थैले में कुछ लाल (A), पीले (B) और हरे (C) टोकन रखे हैं। यदि A : B :: 3 : 8 हो और B : C :: 6 : 13 हो तो A : B : C का मान क्या होगा? [RRB ALP 13/08/2018 (Evening)]

Correct Answer: (d) 9 : 24 : 52
Solution:

43. एक थैले में लाल गेंदों का हरी गेंदों से अनुपात 4 : 9 है। यदि बैग में 6 हरी गेंदें और जोड़ दी जाती हैं, तो लाल गेंदों का हरी गेंदों से अनुपात 1 : 3 हो जाता है। बैग में कितनी लाल गेंदें हैं? [RRB ALP 14/08/2018 (Morning)]

Correct Answer: (b) 8
Solution:

44. एक बैग में ₹1, ₹5 और ₹10 के सिक्के हैं। यह मानते हुए कि ₹1, ₹5 और ₹10 के सिक्के बराबर संख्या में हैं, तो यदि बैग में कुल धन ₹368 है, तो बैग में सिक्कों की कुल संख्या कितनी है? [RRB ALP 14/08/2018 (Evening)]

Correct Answer: (d) 69
Solution:

45. एक रुपये, 50 पैसे और 25 पैसे के कुछ सिक्कों का मूल्य 93.75 रुपये है और उनकी संख्या का अनुपात 3 : 4 : 5 है। प्रत्येक प्रकार के सिक्के की संख्या ज्ञात कीजिए। [RRB ALP 17/08/2018 (Afternoon)]

Correct Answer: (a) 45, 60, 75
Solution:

46. जॉई और मिनति के कंचों की संख्या का अनुपात 5 : 8 है जबकि जैकब और मिनति के कंचों का अनुपात 7 : 12 है। जॉई और जैकब के कंचों का अनुपात क्या है? [RRB ALP 20/08/2018 (Afternoon)]

Correct Answer: (c) 15 : 14
Solution:

47. पुलक और मेनजा के पास उपलब्ध कंचों की संख्या का अनुपात 5 : 9 था जबकि जयराम और मेनजा के पास उपलब्ध कंचों की संख्या का अनुपात 7 : 18 था। पुलक और जयराम के पास उपलब्ध कंचों की संख्या का अनुपात कितना है? [RRB ALP 21/08/2018 (Evening)]

Correct Answer: (a) 10 : 7
Solution:

48. दिए गए प्रश्न का उत्तर ज्ञात कीजिए ? [RRB ALP 29/08/2018 (Evening)]


Correct Answer: (d)
Solution:

49. एक कक्षा में लड़के और लड़कियों को मिलाकर कुल 45 विद्यार्थी हैं। यदि 3/5 भाग लड़के हैं, तो कक्षा में लड़कों की संख्या ज्ञात कीजिए। [RRB ALP 30/08/2018 (Morning)]

Correct Answer: (b) 27
Solution:

50. दो सहभागी M और N ने एक कार खरीदी। M ने बतौर अपने हिस्से कार की लागत के 3/7 का भुगतान किया। M ने N की तुलना में ₹31,540 कम दिए। कार की लागत कितनी है? [RRB ALP 31/08/2018 (Evening)]

Correct Answer: (a) ₹2,20,780
Solution: