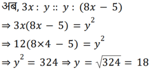
अनुपात-समानुपातTotal Questions: 5011. दो संख्याओं का अनुपात 5 : 8 है। यदि पहली संख्या में 40% की वृद्धि होती है, और दूसरी संख्या में 15% की कमी होती है, तो नया अनुपात होगा। [Group D 01/09/2022 (Morning)](a) 37 : 39 (b) 35 : 34(c) 23 : 26 (d) 12 : 17Correct Answer: (b) 35 : 34Solution:12. (a + b) और (a + b)² का तृतीयानुपाती ज्ञात कीजिए। [Group D 01/09/2022 (Afternoon)](a) (a + b)³ (b) (a + b) (c) a (d) bCorrect Answer: (a) (a + b)³ Solution:13. कृष्ण के पास 1 रुपया, 50 पैसे और 25 पैसे के कुछ सिक्के 1/4 : 1/2 : 1/2 के अनुपात में हैं। यदि 25 पैसे के सिक्कों की संख्या 100 है, तो कृष्ण के पास मौजूद कुल राशि कितनी है? [Group D 01/09/2022 (Evening)](a) ₹100 (b) ₹75 (c) ₹125(d) ₹120Correct Answer: (c) ₹125Solution:14. सीमा और दर्शन की आय का अनुपात 7 : 5 है। वे क्रमशः ₹12,000 और ₹9,000 की बचत करते हैं। यदि उनके व्ययों का अनुपात 17 : 12 है, तो सीमा और दर्शन का कुल व्यय (₹ में) ज्ञात कीजिए। [Group D 06/09/2022 (Morning)](a) 93,000 (b) 81,000 (c) 87,000(d) 75,000Correct Answer: (c) 87,000Solution:15. 20 और 50 के तृतीयानुपाती और 9 और 16 के मध्यानुपाती के बीच अनुपात ज्ञात कीजिए। [Group D 06/09/2022 (Afternoon)](a) 25 : 2 (b) 12 : 125 (c) 32 : 25 (d) 125 : 12Correct Answer: (d) 125 : 12Solution:16. जब 11, 14, 31 और 38 में प्रत्येक में x जोड़ा जाता है, तो इस प्रकार प्राप्त संख्याएँ क्रमशः समानुपात में होती हैं। तो यदि 3x : y :: y : (8x − 5) है और y > 0 है, तो y का मान ज्ञात कीजिए। [Group D 08/09/2022 (Afternoon)](a) 12 (b) 18(c) 15 (d) 16Correct Answer: (b) 18Solution:17. (x³ − y³) और (x − y) का तृतीयानुपाती ज्ञात कीजिए। [Group D 08/09/2022 (Evening)](a) (x − y)/(x² + xy + y²)(b) (x − y)²/(x² + xy + y²)(c) (x − y)/(x² − xy + y²)(d) (x − y)²/(x² + xy + y²)Correct Answer: (a) (x − y)/(x² + xy + y²)Solution:18. ₹4800 की राशि को A, B और C के बीच इस प्रकार विभाजित किया जाता है कि A के हिस्से तथा B और C के संयुक्त हिस्से का अनुपात 3 : 5 है, तथा C को प्राप्त राशि, A और B को मिलाकर प्राप्त होने वाली कुल राशि के 5/7 भाग के बराबर है। A के हिस्से और B के हिस्से का अंतर (₹ में) ज्ञात कीजिए। [Group D 09/09/2022 (Morning)](a) 1,000 (b) 800(c) 900 (d) 850Correct Answer: (b) 800Solution:19. दो संख्याएँ ज्ञात कीजिए, जिनका मध्यानुपाती 14 है और तृतीयानुपाती 4802 है। [Group D 12/09/2022 (Afternoon)](a) 2 और 98 (b) 8 और 24 (c) 7 और 28 (d) 4 और 49Correct Answer: (a) 2 और 98 Solution:20. 8 + 4√2 और 6 − 3√2 का मध्यानुपाती ज्ञात कीजिए। [Group D 13/09/2022 (Morning)](a) 3√6 (b) √6 (c) 2√6(d) 4√6Correct Answer: (c) 2√6Solution:Submit Quiz« Previous12345Next »