कार्य और समय (भाग-II)

Total Questions: 50

1. एक विद्यालय के खेल शिविर में, 200 विद्यार्थियों के लिए 30 दिनों के भोजन की व्यवस्था है। यदि पहले ही दिन 50 और व्यक्ति खेल शिविर में शामिल हो जाते हैं, तो भोजन कितने दिनों तक चलेगा ? [SSC MTS 18/10/2024 (Afternoon)]

Correct Answer: (a) 24
Solution:प्रश्न के अनुसार,

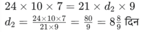
2. 24 पुरुष प्रतिदिन 7 घंटे कार्य करके किसी कार्य को 10 दिनों में पूरा कर सकते हैं। 21 पुरुष प्रतिदिन 9 घंटे कार्य करके उसी कार्य को कितने दिनों में पूरा करेंगे ? [SSC MTS 21/10/2024 (Afternoon)]

Correct Answer: (a) 7⁷⁄₈
Solution:

3. 16 महिलाएं एक काम को 20 दिन में पूरा कर सकती हैं और 20 पुरुष उसी काम को 32 दिन में पूरा करते हैं। 8 महिलाएं और 16 पुरुष कितने दिनों में उस काम को पूरा करेंगे ? [SSC MTS 12/11/2024 (Afternoon)]

Correct Answer: (d) 20
Solution:6 महिलाएँ  पुरुष

4. राजेश को उसके प्रिंटिंग प्रेस में कुछ किताबें छापने का ऑर्डर मिला, जिसमें से उसने ऑर्डर के 17/27 को 34 दिनों में पूरा किया। उसने छपाई का पूरा ऑर्डर कितने दिनों में पूरा किया ? [SSC CGL 09/09/2024 (1st Shift)]

Correct Answer: (c) 54
Solution:प्रश्न के अनुसार,

5. A और B एक काम को क्रमशः 12 दिन और 16 दिन में कर सकते हैं। यदि वे 6 दिन तक एक साथ काम करते हैं, तो कितना काम शेष रहेगा ? [SSC CGL 19/09/2024 (2nd Shift)]

Correct Answer: (c) 1/8
Solution:

6. वरुण और राजू, एक साथ मिलकर कार्य करते हुए, किसी कार्य को 40 घंटे में पूरा कर सकते हैं, जबकि अकेले वरुण, उसी कार्य को 50 घंटे में पूरा कर सकता है। अकेले राजू, कितने घंटे में कार्य पूरा करेगा? [SSC CGL 26/09/2024 (2nd Shift)]

Correct Answer: (a) 200
Solution:

7. A और B एक काम को क्रमश: 10 दिन और 40 दिन में पूरा कर सकते हैं। उन्हें साथ मिलकर काम को पूरा करने में कितना समय लगेगा? [SSC CHSL 01/07/2024 (1st Shift)]

Correct Answer: (c) 8 दिन
Solution:

8. A और B एक काम को आठ दिनों में कर सकते हैं और B अकेले इसे 16 दिनों में कर सकता है। A अकेले इसी कार्य को कितने दिनों में कर सकता है? [SSC CHSL 01/07/2024 (2nd Shift)]

Correct Answer: (a) 16 दिन
Solution:

9. A और B एक काम क्रमशः 9 दिनों और 15 दिनों में कर सकते हैं। यदि वे साथ मिलकर काम करते हैं, तो काम कितने दिनों में पूरा हो जाएगा? [SSC CHSL 01/07/2024 (3rd Shift)]

Correct Answer: (a) 5⁵⁄₈
Solution:आवश्यक समय

10. पंद्रह व्यक्ति प्रतिदिन 12 घंटे काम करके प्रति सप्ताह ₹18,000 कमाते हैं। 18 व्यक्ति प्रतिदिन 9 घंटे काम करके प्रति सप्ताह कितने रुपए कमाएंगे ? [SSC CHSL 01/07/2024 (4th Shift)]

Correct Answer: (b) ₹16,200
Solution:माना आवश्यक रुपया