कार्य और समय Part-5

Total Questions: 50

41. L, M से तीन गुना अधिक काम करता है, और साथ मिलकर वे एक काम को 12 दिनों में पूरा करते हैं। L अकेले उसी काम को कितने दिनों में पूरा करेगा? [ALP Tier II 23/01/2019 (Afternoon)]

Correct Answer: (b) 16
Solution:

42. B, C से दोगुना कार्य-कुशल है और A, B से तीन गुना कार्य-कुशल है। यदि उन्हें एक साथ 94,842 रुपये का वेतन भुगतान किया जाता है। A द्वारा प्राप्त वेतन कितना है? [RPF Constable 18/01/2019 (Morning)]

Correct Answer: (d) Rs.63,228
Solution:

43. B, C से दोगुना कुशल है और A, B से तीन गुना कुशल है। यदि दोनों को 94,248 रुपये का वेतन भुगतान किया जाता है, तो A को कितना वेतन मिलेगा? [RPF Constable 19/01/2019 (Morning)]

Correct Answer: (b) 62,832 रुपये
Solution:

44. शरण और मधुख एक साथ मिलकर किसी कार्य को 18 दिनों में समाप्त करते हैं। परन्तु मधुख इसी कार्य को अकेले करता है और एक तिहाई कार्य पूरा करके काम छोड़ देता है। इसके बाद शरण कार्य को अकेले पूरा करता है। इस प्रकार दोनों मिलकर कार्य को 40 दिन में पूरा कर पाते हैं। यदि मधुख शरण से ज्यादा तेजी से कार्य करता तो शरण अकेले कितने दिनों में पूरे कार्य को समाप्त करता? [RRB ALP 09/08/2018 (Afternoon)]

Correct Answer: (b) 45
Solution:


45. एक कंप्यूटर गेम में, एक बिल्डर दस घंटे में एक दीवार बना सकता है जबकि एक विध्वंसक ऐसी दीवार को चौदह घंटे में पूरी तरह से गिरा सकता है। बिल्डर और विध्वंसक दोनों को शुरू में समतल जमीन पर एक साथ काम करने के लिए लगाया गया था। लेकिन 7 घंटे बाद विध्वंसक को बाहर निकाल लिया गया। दीवार बनाने में कुल कितना समय (घंटों में) लगा? [RRB ALP 09/08/2018 (Afternoon)]

Correct Answer: (d) 15
Solution:

46. सूर्य राधा की तुलना में 3 गुना तेजी से काम करता है और किसी काम को पूरा करने में राधा द्वारा लिये जाने वाले दिनों की तुलना में 40 दिन कम लेता है। यदि वे मिलकर काम करते हैं, तो कितने दिनों में पूरा काम समाप्त हो जायेगा? [RRB ALP 10/08/2018 (Afternoon)]

Correct Answer: (d) 15 दिन
Solution:

47. A और B किसी काम को 12 दिन में पूरा कर सकते हैं। A को कार्य पूरा होने के कुछ दिन पहले कार्य छोड़ना पड़ा और इसी कारण से कार्य को पूरा करने में 16 दिन लग गए। यदि अकेला A इस काम को 21 दिन में पूरा कर सकता है तो काम के खत्म होने से कितने दिन पहले A छुट्टी पर चला गया था? [RRB ALP 10/08/2018 (Afternoon)]

Correct Answer: (a) 7 
Solution:

48. A और B साथ मिलकर किसी काम को 12 दिन में पूरा कर सकते हैं। यदि A अकेले काम करके आधे काम को पूरा करता है, और फिर चला जाता है और इसके बाद B अकेला काम करके शेष काम पूरा करता है। इस काम को पूरा करने में 25 दिन लगते हैं। यदि B, A की तुलना में अधिक कुशल हो तो B द्वारा स्वयं काम करने में कितने दिन लिए जाएंगे? [RRB ALP 13/08/2018 (Morning)]

Correct Answer: (b) 20
Solution:

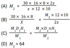
49. तीस पुरुष प्रतिदिन 8 घंटे काम करके एक काम को 16 दिनों में पूरा कर सकते हैं। प्रतिदिन 12 घंटे काम करके 10 दिनों में एक और काम पूरा करने के लिए कितने आदमियों की जरूरत है, जो पहले काम का दोगुना है? उपरोक्त समस्या को हल करने में शामिल कदम निम्नलिखित हैं। उन्हें अनुक्रमिक क्रम में व्यवस्थित करें। [RRB ALP 14/08/2018 (Morning)]

Correct Answer: (c) CBAD
Solution:

50. 16 पुरुष एक कार्य को 8 दिनों में प्रतिदिन 12 घंटे कार्य करके समाप्त कर सकते हैं। इसी कार्य के तीन गुना अधिक एक अन्य कार्य को 24 दिनों में प्रतिदिन 8 घंटे कार्य करके समाप्त करने के लिए कितने पुरुषों की आवश्यकता होगी? [RRB ALP 17/08/2018 (Morning)]

Correct Answer: (d) 24 पुरुष
Solution: