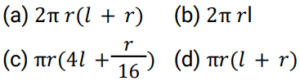
क्षेत्रमिति Part -7Total Questions: 5041. यदि एक वृत्त की त्रिज्या 4 cm है, तो पूरे वृत्त के अंदर फिट होने वाले सबसे बड़े वर्ग का क्षेत्रफल होगा? [RRB NTPC 11/02/2021 (Evening)](a) 64 cm²(b) 16 cm²(c) 30 cm²(d) 32 cm²Correct Answer: (d) 32 cm²Solution:42. मान लीजिए कि एक समलंब की दो समानांतर भुजाओं की लंबाई 30 cm और 18 cm है और 24 cm इन दोनों भुजाओं के बीच की दूरी है। यदि इस समलंब का क्षेत्रफल एक वर्ग के क्षेत्रफल के बराबर है, तो वर्ग का परिमाप क्या होगा? [RRB NTPC 12/02/2021 (Morning)](a) 87 cm(b) 66 cm(c) 96 cm(d) 75 cmCorrect Answer: (c) 96 cmSolution:43. एक बर्तन में पेंट 9.375 m² के बराबर क्षेत्र को पेंट करने के लिए पर्याप्त है। बर्तन में पेंट के साथ 22.5 cm × 10 cm × 7.5 cm माप वाली कितनी ईंटें पेंट की जा सकती हैं? [RRB NTPC 12/02/2021 (Morning)](a) 170(b) 120(c) 100(d) 150Correct Answer: (c) 100Solution:44. दो समरूप त्रिभुजों के शीर्षलंब 4 cm and 6 cm हैं। यदि बड़े त्रिभुज का क्षेत्रफल 36 cm² है, तो दूसरे त्रिभुज का क्षेत्रफल क्या होगा? [RRB NTPC 12/02/2021 (Morning)](a) 16 cm²(b) 36 cm²(c) 49 cm²(d) 25 cm²Correct Answer: (a) 16 cm²Solution:45. एक आयताकार मैदान है जिसकी विमाएँ क्रमशः: 100 m और 80 m हैं। यदि एक समान चौड़ाई का 10 मीटर का पथ उसके चारों ओर और उसके अंदर चलता है, तो पथ का क्षेत्रफल क्या होगा? [RRB NTPC 12/02/2021 (Morning)](a) 3400 m²(b) 3800 m²(c) 3200 m²(d) 3500 m²Correct Answer: (c) 3200 m²Solution:46. ABC एक समकोण त्रिभुज है। यदि समकोण वाली दो भुजाओं की लंबाई 4 cm और 3 cm है। इसके भीतर वाले वृत्त की त्रिज्या क्या होगी? [RRB NTPC 15/02/2021 (Morning)](a) 1 cm(b) 4 cm(c) 2 cm(d) 3 cmCorrect Answer: (a) 1 cmSolution:47. एक वस्तु एक समलंब के रूप में है जिसकी ऊँचाई 5 m और समानांतर भुजाएँ 4 m और 6 m हैं। वस्तु को पेंट करने की लागत क्या है, यदि पेंटिंग की दर 50 प्रति वर्ग मीटर रुपये है? [RRB NTPC 15/02/2021 (Morning)](a) Rs. 1,250(b) Rs. 800(c) Rs. 1,000(d) Rs. 1,200Correct Answer: (a) Rs. 1,250Solution:48. एक शंकु के कुल पृष्ठीय क्षेत्रफल की गणना कीजिए यदि त्रिज्या r/4 है और इसकी तिर्यक ऊँचाई 4l है। [RRB NTPC 15/02/2021 (Evening)](a)(b)(c)(d)Correct Answer: (c)Solution:49. 3 cm, 4 cm और 5 cm प्रत्येक भुजा वाले तीन छोटे घनों को पिघलाकर एक बड़ा घन बनाया जाता है। तीन छोटे घनों के पृष्ठीय क्षेत्रफलों का एक साथ बड़े घन से अनुपात है: [RRB NTPC 17/02/2021 (Morning)](a) 25 : 18(b) 27 : 64(c) 18 : 25(d) 9 : 4Correct Answer: (a) 25 : 18Solution:50. एक कमरे के फर्श का परिमाप 18 मीटर है। कमरे की दीवारों का क्षेत्रफल क्या है, यदि कमरे की ऊँचाई 3 मीटर है? [RRB NTPC 22/02/2021 (Morning)](a) 54 m²(b) 21 m²(c) 108 m²(d) 42 m²Correct Answer: (a) 54 m²Solution:Submit Quiz« Previous12345