क्षेत्रमिति Part – 8

Total Questions: 50

21. यदि किसी घन की प्रत्येक भुजा की लंबाई दोगनी कर दी जाए, तो आयतन मूल आयतन का ______ होगा। [RRB NTPC 05/03/2021 (Morning)]

Correct Answer: (c) 8 गुना हो जाता है
Solution:

22. किशोर ने अपने किचन के फर्श को चौकोर टाइलों से टाइल करने की योजना बनाई है। टाइल की प्रत्येक भुजा 10 सेमी है। रसोई 2.4 मीटर लंबी और 1.6 मीटर चौड़ी है। किशोर को कितनी टाइलों की आवश्यकता होगी? [RRB NTPC 07/03/2021 (Morning)]

Correct Answer: (c) 384
Solution:

23. एक बेलन की त्रिज्या और ऊँचाई क्रमशः 28 सेमी और 40 सेमी है। इसका आयतन ज्ञात कीजिए। [RRB NTPC 08/03/2021 (Morning)]

Correct Answer: (d) 98560 cm³
Solution:

24. एक गोले का पृष्ठीय क्षेत्रफल जिसकी त्रिज्या 21 मीटर है [RRB NTPC 08/03/2021 (Morning)]

Correct Answer: (d) 5544 m²
Solution:

25. यदि दो वर्गों के क्षेत्रफल का अनुपात 169 : 196 है, तो उनके परिमापों का अनुपात कितना है? [RRB NTPC 08/03/2021 (Evening)]

Correct Answer: (d) 13 : 14
Solution:

26. एक वर्ग का क्षेत्रफल एक आयत के क्षेत्रफल के बराबर है। आयत की लंबाई और चौड़ाई का अनुपात 4 : 1 है। यदि वर्ग का प्रत्येक भुजा की लम्बाई 8 cm है, तो आयत का परिमाप क्या है? [RRB NTPC 09/03/2021 (Morning)]

Correct Answer: (b) 40 cm
Solution:

27. एक लंब वृतीय बेलन में, वक्र पृष्ठीय क्षेत्रफल का कुल पृष्ठीय क्षेत्रफल से अनुपात 3 : 7 है। बेलन की ऊँचाई और त्रिज्या का अनुपात ज्ञात कीजिए। [RRB NTPC 09/03/2021 (Evening)]

Correct Answer: (d) 3 : 4
Solution:

28. यदि 8 cm की भुजा वाले घन को छोटे घनों में विभाजित किया जाता है, जिनमें से प्रत्येक की भुजा 2 cm है, तो प्रत्येक 2 cm की भुजा वाले छोटे घनों की कुल संख्या क्या होगी? [RRB NTPC 09/03/2021 (Evening)]

Correct Answer: (c) 64
Solution:

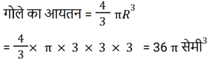
29. सबसे बड़ा गोला 6 सेमी भुजा वाले एक ठोस घन से काट जाता है। गोले का आयतन क्या होगा? [RRB NTPC 11/03/2021 (Morning)]

Correct Answer: (c) 36π cm³
Solution:

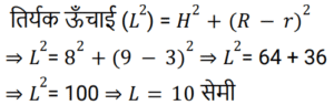
30. एक शंकु के ठोस छिन्नक की ऊँचाई 8 cm है। यदि इसके निचले और ऊपरी सिरों की त्रिज्याएँ क्रमशः: 3 cm और 9 cm हैं, तो इसकी तिर्यक ऊँचाई क्या है? [RRB NTPC 11/03/2021 (Morning)]

Correct Answer: (c) 10 cm
Solution: