क्षेत्रमिति Part – 9

Total Questions: 50

11. यदि किसी वृत्त की परिधि और क्षेत्रफल संख्यात्मक रूप से समान हैं तो वृत्त की त्रिज्या है: [RRB NTPC 01/04/2021 (Morning)]

Correct Answer: (b) 2 इकाई
Solution:

12. एक आयताकार बॉक्स की भुजाएँ 3, 4 और 5 सेमी हैं। डिब्बे के अंदर रखी जा सकने वाली छड़ी की अधिकतम लंबाई कितनी होगी? [RRB NTPC 01/04/2021 (Evening)]

Correct Answer: (d) 5√2 cm
Solution:

13. एक वृत्त का क्षेत्रफल एक वर्ग के क्षेत्रफल के बराबर होता है। वृत्त की परिधि का वर्ग के परिमाप से अनुपात कितना है? [RRB NTPC 01/04/2021 (Evening)]

Correct Answer: (b) √π : 2
Solution:

14. 12 cm व्यास वाली एक गोलाकार गेंद को पिघलाकर एक शंकु के रूप में ढाला जाता है, जिसके आधार का व्यास 8 cm है। शंकु की ऊँचाई ज्ञात कीजिए। [RRB NTPC 01/04/2021 (Evening)]

Correct Answer: (c) 54 cm
Solution:

15. 12 सेमी की आंतरिक त्रिज्या के एक गोलार्द्ध के कटोरे में एक तरल होता है। इस तरल को आधार व्यास 3 सेमी और ऊँचाई 4 सेमी की शंकाकार आकार की छोटी बोतलों में भरा जाना है। कटोरा खाली करने के लिए समान प्रकार की कितनी बोतलों की आवश्यकता होगी? [RRB NTPC 03/04/2021 (Morning)]

Correct Answer: (b) 384
Solution:

16. दो वर्गों के परिमाप 48 सेमी और 60 सेमी हैं। एक तीसरे वर्ग का परिमाप ज्ञात कीजिए जिसका क्षेत्रफल वर्गों के क्षेत्रफल के अंतर के बराबर है। [RRB NTPC 03/04/2021 (Morning)]

Correct Answer: (c) 36 cm
Solution:

17. एक बेलनाकार टैंक की क्षमता 38,500 लीटर है। यदि ऊँचाई 4 मीटर है, तो आधार का व्यास क्या है? [RRB NTPC 03/04/2021 (Morning)]

Correct Answer: (b) 3.5 m
Solution:

18. दो संकेंद्रित वृत्त एक वृत्ताकार पथ बनाते हैं। पथ की आंतरिक और बाहरी परिधि क्रमशः: 56 ⁴⁄₇ मीटर और 94 ²⁄₇ मीटर है। पथ की चौड़ाई ज्ञात कीजिए। [RRB NTPC 03/04/2021 (Morning)]

Correct Answer: (b) 6 m
Solution:

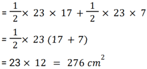
19. एक चतुर्भुज में, इसके एक विकर्ण की लंबाई 23 सेमी है और इस विकर्ण पर अन्य दो शीर्षों से खींचे गए लंबों की माप क्रमशः: 17 सेमी और 7 सेमी है। चतुर्भुज का क्षेत्रफल ज्ञात कीजिए। [RRB NTPC 03/04/2021 (Evening)]

Correct Answer: (a) 276 cm²
Solution:

20. सबसे बड़े वर्ग का क्षेत्रफल ज्ञात कीजिए जिसे 44 सेमी परिधि के एक वृत्त में अंकित किया जा सकता है। [RRB NTPC 03/04/2021 (Evening)]

Correct Answer: (d) 98 cm²
Solution: