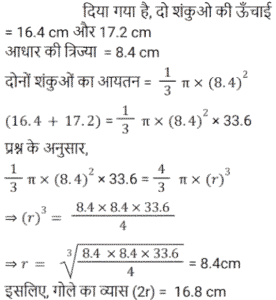
क्षेत्रमिति Part – 9Total Questions: 5041. एक आयत का परिमाप ज्ञात कीजिए जिसकी लंबाई उसकी चौड़ाई से 5 मीटर अधिक है और परिमाप उसके क्षेत्रफल के एक-तिहाई के बराबर है। [RRB NTPC 26/07/2021 (Evening)](a) 60 m(b) 45 m(c) 40 m(d) 50 mCorrect Answer: (d) 50 mSolution:42. एक कमरे की लंबाई, चौड़ाई और ऊँचाई का अनुपात 4 : 3 : 2 है। यदि लंबाई और ऊँचाई आधी कर दी जाए जबकि चौड़ाई दोगुनी कर दी जाए, तो कमरे की चारों दीवारों का नया क्षेत्रफल होगा: [RRB NTPC 31/07/2021 (Evening)](a) लगभग 13.64% की कमी(b) लगभग 26% की कमी(c) लगभग 42.86% की कमी(d) वही रहेगाCorrect Answer: (c) लगभग 42.86% की कमीSolution:43. एक टैंक के अंदर की माप 25 मीटर लंबी, 12 मीटर चौड़ी और 6 मीटर गहरी है। इसकी दीवारों और तल को अंदर से 75 पैसे प्रति वर्ग मीटर की दर से प्लास्टर करने की लागत है: [RRB NTPC 31/07/2021 (Evening)](a) Rs.558(b) Rs.458(c) Rs.512(d) Rs.496Correct Answer: (a) Rs.558Solution:44. 3.5 सेमी त्रिज्या वाले तीन वृत्त इस प्रकार रखे गए हैं कि प्रत्येक वृत्त अन्य दो को स्पर्श करता है। वृत्तों से घिरे भाग का क्षेत्रफल है [RRB NTPC 31/07/2021 (Evening)](√3 = 1.732 लें):(a) 2.56 cm²(b) 1.652 cm²(c) 1.967 cm²(d) 1.856 cm²Correct Answer: (c) 1.967 cm²Solution:45. क्रमशः: 16.4 सेमी और 17.2 सेमी ऊँचाई वाले दो लंबवृतीय शंकु, जिनकी आधार त्रिज्या 8.4 सेमी है। इन दोनों शंकुओं को पिघलाया जाता है और एक गोले के रूप में ढाला जाता है। गोले का व्यास ज्ञात कीजिए। [RRB JE 22/05/2019 (Evening)](a) 8.2 सेमी(b) 16.8 सेमी(c) 8.6 सेमी(d) 8.4 सेमीCorrect Answer: (b) 16.8 सेमीSolution:46. एक समद्विबाहु त्रिभुज का परिमाप 32 सेमी है। इसका आधार, समान भुजाओं का 6/5 गुना है। क्षेत्रफल ज्ञात कीजिए। [RRB JE 22/05/2019 (Evening)](a) 64 सेमी²(b) 48 सेमी²(c) 57 सेमी²(d) 39 सेमी²Correct Answer: (b) 48 सेमी²Solution:47. यदि किसी घन का पृष्ठीय क्षेत्रफल 3750 वर्ग सेमी है, तो उसका आयतन ज्ञात कीजिए। [RRB JE 23/05/2019 (Evening)](a) 12225 सेमी³(b) 15625 सेमी³(c) 14255 सेमी³(d) 16625 सेमी³Correct Answer: (b) 15625 सेमी³Solution:48. 340 मीटर परिमाप वाले एक आयताकार प्लॉट के चारों ओर 1 मीटर चौड़ी जगह में रु. 10 प्रति वर्ग मीटर की दर से बागवानी की लागत क्या होगी? [RRB JE 23/05/2019 (Evening)](a) निर्धारित नहीं किया जा सकता(b) रु. 3440(c) रु. 3400(d) रु. 1700Correct Answer: (b) रु. 3440Solution:49. एक आयताकार कोठरी के फर्श का विकर्ण 7.5 फुट का है। कोठरी की छोटी भुजा 4.5 फुट है। कोठरी का क्षेत्रफल वर्ग फुट में ज्ञात कीजिए। [RRB JE 24/05/2019 (Morning)](a) 27 फुट²(b) 13.5 फुट²(c) 37 फुट²(d) 5.25 फुट²Correct Answer: (a) 27 फुट²Solution:50. एक आयत की लंबाई : चौड़ाई = 4 : 3 है। लंबाई : विकर्ण का मान ज्ञात कीजिए। [RRB JE 24/05/2019 (Morning)](a) 4 : 7(b) 2 : 3(c) 4 : 5(d) 1 : 5Correct Answer: (c) 4 : 5Solution:Submit Quiz« Previous12345