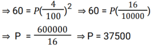
चक्रवृद्धि ब्याज Part-4Total Questions: 2311. यदि मूलधन 26000 रुपये है तो 3 वर्ष बाद 10% प्रति वर्ष चक्रवृद्धि ब्याज की दर पर कुल राशि ज्ञात कीजिए। (रुपये में) [RPF Constable 19/01/2019 (Morning)](a) 35606 (b) 34606(c) 37606 (d) 36606Correct Answer: (b) 34606Solution:12. 2 वर्षों के लिए समान दर पर निवेश की गई समान राशि पर प्राप्त चक्रवृद्धि ब्याज और साधारण ब्याज की राशियों का अंतर 32 रुपये है। यदि ब्याज दर 4% वार्षिक हो, तो निवेशित राशि की गणना (रु. में) कीजिए ? [RPF S.I. 19/12/2018 (Morning)](a) 30000 (b) 16000 (c) 20000(d) 25000Correct Answer: (c) 20000Solution:13. दो वर्षों के लिए समान ब्याज दर पर चक्रवृद्धि ब्याज और साधारण ब्याज पर निवेश की गई समान राशि पर प्राप्त ब्याज की रकम में अंतर ₹36 है। यदि ब्याज दर 4% वार्षिक हो, तो निवेशित राशि की गणना (रु में) कीजिए ? [RPF S.I. 19/12/2018 (Evening)](a) 20500 (b) 23850 (c) 16750 (d) 22500Correct Answer: (d) 22500Solution:14. समान धनराशि पर दो वर्षों में प्राप्त चक्रवृद्धि ब्याज और साधारण ब्याज की राशियों का अंतर 40 रुपये है। यदि ब्याज दर 4% वार्षिक हो, तो निवेश की गई धनराशि की गणना (रुपए में) कीजिए। [RPF S.I. 24/12/2018 (Morning)](a) 32000 (b) 20000 (c) 22500 (d) 25000Correct Answer: (d) 25000Solution:15. चक्रवृद्धि ब्याज पर कोई राशि 3 वर्षों में मूल राशि की दो गुनी हो जाती है। कितने वर्षों में यह अपनी मूल राशि की 64 गुनी हो जाएगी ? [RPF S.I. 24/12/2018 (Morning)](a) 16 (b) 20 (c) 14 (d) 18Correct Answer: (d) 18Solution:16. चक्रवृद्धि ब्याज और साधारण ब्याज पर 2 साल के लिए निवेश की गई समान राशि पर अर्जित ब्याज के बीच का अंतर 76 रुपये है। यदि ब्याज दर 4% प्रति वर्ष है, तो निवेश की गई राशि की गणना करें। (रुपये में) [RPF S.I. 05/01/2019 (Morning)](a) 51,500 (b) 47,500(c) 48,500 (d) 49,500Correct Answer: (b) 47,500Solution:17. चक्रवृद्धि ब्याज पर कोई राशि 4 वर्षों में मूल राशि की तीन गुनी हो जाती है। कितने वर्षों में यह अपनी मूल राशि की 9 गुनी हो जाएगी ? [RPF S.I. 06/01/2019 (Afternoon)](a) 10 (b) 9 (c) 7 (d) 8Correct Answer: (d) 8Solution:18. समान राशि पर, समान ब्याज दर पर दो वर्षों में प्राप्त चक्रवृद्धि ब्याज और साधारण ब्याज की राशियों का अंतर 60 रुपए है, यदि ब्याज दर 4 % वार्षिक हो तो निवेशित राशि की गणना कीजिये (रु में) [RPF S.I. 10/01/2019 (Morning)](a) 35,500 (b) 36,500(c) 34,500 (d) 37,500Correct Answer: (d) 37,500Solution:19. एक निश्चित धनराशि पर 5% के वार्षिक दर से 3 वर्ष में प्राप्त होने वाला साधारण ब्याज ₹ 5,250 है। समान अवधि के लिए ब्याज की समान दर पर उसी धनराशि का चक्रवृद्धि ब्याज कितना होगा ? [RRB ALP 10/08/2018 (Afternoon)](a) ₹5,517.88 (b) ₹5,510.88(c) ₹5,512.88 (d) ₹5,516.88Correct Answer: (d) ₹5,516.88Solution:20. यदि ₹ 1000 की एक धनराशि 3 वर्ष में चक्रवृद्धि ब्याज की दर से ₹ 1331 हो जाती है, तो ब्याज की वार्षिक दर ज्ञात कीजिए। [RRB ALP 13/08/2018 (Afternoon)](a) 15% (b) 20% (c) 10%(d) 30%Correct Answer: (c) 10%Solution:Submit Quiz« Previous123Next »