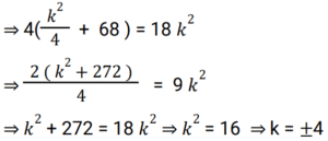
ज्यामिति Part-2Total Questions: 501. पृथ्वी को अपनी धुरी पर घूमने में 24 घंटे लगते हैं। 5 घंटे और 24 मिनट में यह किस कोण से घूमेगी? [NTPC CBT - I 09/02/2021 (Evening)](a) 80°(b) 81°(c) 82°(d) 79°Correct Answer: (b) 81°Solution:2. 100 cm त्रिज्या वाले एक वृत्त के केंद्र पर 22 cm लंबाई के चाप द्वारा अंतरित कोण का अंश माप ज्ञात कीजिए। [NTPC CBT - I 11/02/2021 (Morning)](a) 2° 36'(b) 62° 36'(c) 12° 36'(d) 22° 36'Correct Answer: (c) 12° 36'Solution:3. यदि a, b और c एक त्रिभुज की भुजाएँ हैं और a² + b² + c² = ab + bc + ca, तो त्रिभुज क्या है? [NTPC CBT - I 16/02/2021 (Morning)](a) समभुज(b) समकोण(c) समद्विभुज(d) अधिक कोणCorrect Answer: (a) समभुजSolution:4. एक त्रिभुज की दो भुजाओं की लंबाई 4 cm और 10 cm है। यदि तीसरी भुजा की लंबाई a cm है, तो [NTPC CBT - I 17/02/2021 (Morning)](a) a > 5(b) 6 < a < 12(c) 6 < a < 14(d) a < 6Correct Answer: (c) 6 < a < 14Solution:5. एक लड़का आयताकार मैदान की दो आस्त्र भुजाओं पर चलता है। यदि वह इसके विकर्ण के अनुक्रम चलता है, तो वह बड़ी भुजा के एक तिहाई के बराबर दूरी बचाता है। बड़ी भुजा का छोटी भुजा से अनुपात ज्ञात कीजिए। [NTPC CBT - I 01/03/2021 (Evening)](a) 2 : 5(b) 3 : 5(c) 12 : 3(d) 12 : 5Correct Answer: (d) 12 : 5Solution:6. दो वृत्त के बीच का कोण x² + y² - 12x - 6y + 41 = 0 और x² + y² + kx + 6y - 59 = 0, ∠45° है। k का मान ज्ञात कीजिए। [NTPC CBT - I 09/03/2021 (Evening)](a) ±3(b) ±4(c) ±6(d) -4Correct Answer: (b) ±4Solution:7. दी गई आकृति में, यदि छायांकित क्षेत्र का क्षेत्रफल, पूरे वृत्त के क्षेत्रफल के 70% के बराबर है, तो x° का माप ज्ञात कीजिए। [NTPC CBT - I 01/04/2021 (Evening)](a) 108°(b) 100°(c) 72°(d) 144°Correct Answer: (a) 108°Solution:8. एक वृत्त, जिसका केंद्र C₁ है, त्रिज्या r₁ = 5 सेमी है, को एक समकोण पर रखा गया है। एक और छोटा वृत्त जिसका केंद्र C₂ है, त्रिज्या r₂ है, को भी कोण की भुजाओं और बड़े वृत्त को स्पर्श करते हुए रखा गया है जैसा कि चित्र में दिखाया गया है। छोटे वृत्त की त्रिज्या, r₂ सेमी में ज्ञात कीजिए। [NTPC CBT - I 03/04/2021 (Morning)](a) 3(5 + 2√2)(b) 5(3 + 2√2)(c) 5(3 - 2√2)(d) 3(5 - 2√2)Correct Answer: (c) 5(3 - 2√2)Solution:9. दो समरूप त्रिभुजों के परिमाप △PQR और △XYZ क्रमशः 48 cm और 24 cm हैं। यदि XY = 12 है तो PQ का मान क्या होगा? [NTPC CBT - I 03/04/2021 (Evening)](a) 8 cm(b) 18 cm(c) 24 cm(d) 12 cmCorrect Answer: (c) 24 cmSolution:10. एक बिंदु Q से किसी वृत्त पर खींची गई स्पर्श रेखा की लंबाई 40 cm है और केंद्र से बिंदु Q की दूरी 41 cm है, तो वृत्त की त्रिज्या _________ cm होगी। [ALP Tier II 21/01/2019 (Afternoon)](a) 8(b) 7(c) 9(d) 10Correct Answer: (c) 9Solution:Submit Quiz12345Next »