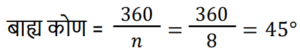
ज्यामिति Part-2Total Questions: 5031. यदि एक चतुर्भुज के चारों कोणों के माप p, q, r और s का अनुपात 3 : 5 : 4 : 6 है, तो 3p + 2r का मान ज्ञात कीजिए। [Group D 25/08/2022 (Morning)](a) 330°(b) 340°(c) 360°(d) 310°Correct Answer: (b) 340°Solution:32. समांतर रेखाओं के एक ग्रम को एक त्रिकोण रेखा द्वारा इस प्रकार प्रत्यक्षित किया जाता है कि ∠1 और ∠2 त्रिकोण रेखा के एक ही और अंत: कोण ग्रम बनाते हैं। यदि m∠1 = 35°, है, तो ∠2 का माप क्या है ? [Group D 25/08/2022 (Morning)](a) 35°(b) 55°(c) 65°(d) 145°Correct Answer: (d) 145°Solution:33. एक चतुर्भुज के कोणों का अनुपात 2:5:7:10 है। चतुर्भुज के सबसे बड़े कोण और सबसे छोटे कोण का अंतर ज्ञात कीजिए। [Group D 25/08/2022 (Afternoon)](a) 120°(b) 60°(c) 60°(d) 180°Correct Answer: (a) 120°Solution:34. त्रिभुज ABC में, AB = 3m, BC = 4m, और AC 5m है। त्रिभुज PRQ में, PR = 4m, PQ = 5m, और RQ = 3m है। निम्न में से कौन सा सर्वांगसमता का सही क्रम है ? [Group D 25/08/2022 (Evening)](a) ∆BAC, ∆RPQ के सर्वांगसम है(b) ∆CBA, ∆RPQ के सर्वांगसम है(c) ∆ABC, ∆RPQ के सर्वांगसम है(d) ∆BCA, ∆RPQ के सर्वांगसम हैCorrect Answer: (d) ∆BCA, ∆RPQ के सर्वांगसम हैSolution:35. माप ज्ञात कीजिए [Group D 25/08/2022 (Evening)](a) 60°(b) 45°(c) 70°(d) 30°Correct Answer: (d) 30°Solution:36. ∆ABC, ∆FED के समरूप है और AB = x cm, BC = x + 2 cm, EF = 12 cm, और ED = 18 cm | x का मान ज्ञात कीजिए। [Group D 26/08/2022 (Morning)](a) 4 cm(b) -2 cm(c) 2 cm(d) -4 cmCorrect Answer: (a) 4 cmSolution:37. त्रिभुज ABC और PQR में, AB = AC, ∠C = ∠P और ∠B = ∠Q है। तो दोनों त्रिभुज ____। [Group D 26/08/2022 (Afternoon)](a) समद्विभा हैं, किंतु सर्वांगसम नहीं है।(b) सर्वांगसम हैं, किंतु समद्विभा नहीं है।(c) न तो सर्वांगसम हैं, और न ही समद्विभा हैं।(d) समद्विभा तथा सर्वांगसम हैं।Correct Answer: (a) समद्विभा हैं, किंतु सर्वांगसम नहीं है।Solution:38. एक सम अभम्दुज के प्रत्येक बाहा कोण का माप ज्ञात कीजिए। [Group D 26/08/2022 (Evening)](a) 45°(b) 135°(c) 60°(d) 120°Correct Answer: (a) 45°Solution:39. निम्न में से कौन सा सत्य है ? [Group D 26/08/2022 (Evening)](a) प्रत्येक समलंब, समांतर चतुर्भुज होता है।(b) प्रत्येक समांतर चतुर्भुज, वर्ग होता है।(c) प्रत्येक आयत, वर्ग होता है।(d) प्रत्येक वर्ग समचतुर्भुज होता है।(a) केवल a(b) केवल d(c) a और b दोनों(d) केवल cCorrect Answer: (b) केवल dSolution:40. ∆ABC के ∠B और ∠C के आंतरिक समद्विभासम D पर मिलते हैं। यदि ∠A = 75° है, तो ∠BDC का माप ज्ञात कीजिए। [Group D 29/08/2022 (Morning)](a) 112.5°(b) 102.5°(c) 127.5°(d) 105.5°Correct Answer: (c) 127.5°Solution:Submit Quiz« Previous12345Next »