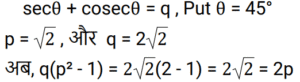
त्रिकोणमिति Part-5Total Questions: 5011. 9sin²θ + 10cos²θ का न्यूनतम मान है? [RRB NTPC 09/03/2021 (Evening)](a) 1 (b) 0 (c) 8 (d) 9Correct Answer: (d) 9Solution:12. यदि 2xycosθ + (x² – y²)sinθ = x² + y² तो tanθ का मान है : [RRB NTPC 09/03/2021 (Evening)](c)(a)(b)(d)Correct Answer: (c)Solution:13. tan100° + tan125° + tan100° + tan125° का मान है? [RRB NTPC 11/03/2021 (Morning)](a) 1/2(b) 1(c) 0 (d) –1Correct Answer: (b) 1Solution:14. दिए गए समीकरण को हल कीजिए। sin21° cos9° – cos84° cos6° = ? [RRB NTPC 11/03/2021 (Morning)](a) 1/2 (b) 1/4(c) 1/8 (d) 1Correct Answer: (b) 1/4Solution:15. यदि sinα = 1/√5 और cosβ = 3/√10 तो α + β का मान ज्ञात कीजिए? [RRB NTPC 12/03/2021 (Morning)](a) 30° (b) 45°(c) 90° (d) 60°Correct Answer: (b) 45°Solution:16. यदि sinθ + cosθ = 1 है, तो tan2θ का मान क्या होगा? [RRB NTPC 12/03/2021 (Morning)](a) 1/2 (b) –1 (c) 1 (d) 0Correct Answer: (d) 0Solution:17. sin34° + cos64° – cos4° का मान ज्ञात कीजिए [RRB NTPC 12/03/2021 (Evening)](a) 1 (b) 1/2 (c) 3/4 (d) 0Correct Answer: (d) 0Solution:18. यदि sinθ + cosθ = p और secθ + cosecθ = q, तो q(p² – 1) का मान है : [RRB NTPC 13/03/2021 (Morning)](a) p² (b) p² + 1 (c) 2p(d) pCorrect Answer: (c) 2pSolution:19. त्रिभुज ABC में, a = 25, b = 45 और c = 30 cos A का मान है : [RRB NTPC 13/03/2021 (Evening)](a) 21/27 (b) 20/27 (c) 23/27 (d) 25/27Correct Answer: (d) 25/27Solution:20. यदि sinA = 4/√17 तो tan2A = ? [RRB NTPC 14/03/2021 (Morning)](0° < A < 90°)(a) 4/15 (b) 8/15(c) 7/15 (d) 21/15Correct Answer: (b) 8/15Solution:Submit Quiz« Previous12345Next »