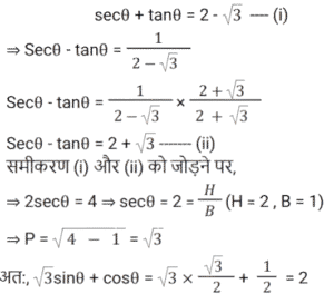
त्रिकोणमिति Part-5Total Questions: 5021. यदि cosecA – cotA = 3 then cosecA + cotA = ? [RRB NTPC 14/03/2021 (Morning)](a) 1/3 (b) 3/2 (c) 1/2 (d) 1/5Correct Answer: (a) 1/3 Solution:22. यदि sinA + sinB = x और cosA + cosB = y, तो cos(A – B) = ? [RRB NTPC 14/03/2021 (Evening)](a) (x² + y²)/2(b) (x² + y²)/2(c) (x² – y²)/2(d) (y² – x²)/2Correct Answer: (d) (y² – x²)/2Solution:23. यदि cos(x + y) = 1/2 और sin(x – y) = 0, जहाँ x और y धन न्यून कोण हैं और x ≥ y, तो x और y हैं। [RRB NTPC 14/03/2021 (Evening)](a) 90° और 30° (b) 60° और 60° (c) 30° और 30°(d) 60° और 45°Correct Answer: (c) 30° और 30°Solution:24. sin15° का मान क्या है? [RRB NTPC 15/03/2021 (Morning)](a) (√6 – √2)/4 (a) (√6 – √2)/2 (b) (√6 – √2)/3(d) (3 – √2)/4 Correct Answer: (a) (√6 – √2)/4 Solution:25. cot(15°) – tan(15°) का मान क्या है? [RRB NTPC 15/03/2021 (Evening)](a) √3/2 (b) 2 (c) 2√3(d) 4Correct Answer: (c) 2√3Solution:26. यदि cosx – 3sinx = √3 sinx, तो tanx का मान है: [RRB NTPC 15/03/2021 (Evening)](a) (3 – √3) / 6 (b) 3 – √3 (c) √3 (d) 3 + √3Correct Answer: (a) (3 – √3) / 6 Solution:27. यदि tanα = 5/3 तथा tanβ = 4, तो α + β है : [RRB NTPC 19/03/2021 (Evening)](a) 135° (b) 145° (c) 125° (d) 160°Correct Answer: (a) 135° Solution:28. यदि acosθ + bsinθ = 5 और bcosθ – asinθ = 3, तो a और b के बीच संबंध ______ है। [RRB NTPC 01/04/2021 (Evening)](a)(b)(c)(d)Correct Answer: (c)Solution:29. (cosecθ + cotθ)(1 – cosθ) का मान है : [RRB NTPC 05/04/2021 (Morning)](a) cosθ (b) cosecθ (c) sinθ(d) secθCorrect Answer: (c) sinθSolution:30. यदि secθ + tanθ = 2 – √3, तो √3 sinθ + cosθ का मान है। [RRB NTPC 05/04/2021 (Evening)](a) 2 (b) 3 (c) 1 (d) 4Correct Answer: (a) 2 Solution:Submit Quiz« Previous12345Next »