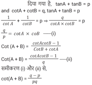
त्रिकोणमिति Part-5Total Questions: 5031. यदि 3tanθ = 2, तो निम्नलिखित का मान क्या होगा? [RRB NTPC 05/04/2021 (Evening)](a) 1/√13 (b) 2/√13(c) 2/13 (d) 3/13Correct Answer: (b) 2/√13Solution:32. यदि cos⁴θ – sin⁴θ = 3/5, तो निम्नलिखित का मान क्या होगा ? [RRB NTPC 05/04/2021 (Evening)]1 – 2sin²θ + 2sinθcosθ(a) 0 (b) 5/6 (c) 6/5(d) 8/5Correct Answer: (c) 6/5Solution:33. यदि θ एक न्यून कोण है और tanθ + cotθ = 2 है, तो निम्नलिखित का मान क्या होगा? [RRB NTPC 05/04/2021 (Evening)]tan¹⁵θ + cot²⁰θ + 2tan²⁰θ cot¹⁵θ(a) 4 (b) 3 (c) 5 (d) 6Correct Answer: (a) 4 Solution:34. अगर tanA + tanB = p तथा cotA + cotB = q, फिर cot(A + B) है : [RRB NTPC 07/04/2021 (Morning)](a) (p – q) / pq(b) (q – p) / pq(c) pq / (p – q)(d) pq / (p + q)Correct Answer: (b) (q – p) / pqSolution:35. cos23° + cos24° + cos25° + …… + cos87° का मान है : [RRB NTPC 08/04/2021 (Morning)](a) 55/2 (b) 65/2 (c) 75/2 (d) 85/2Correct Answer: (d) 85/2Solution:36. यदि (1 – cosP)(1 + cosP) = 3/4 तथा P एक न्यून कोण है, तो secP का मान ज्ञात कीजिए। [RRB NTPC 23/07/2021 (Morning)](a) √7/2 (b) 1/2 (c) 2(d) √2/7Correct Answer: (c) 2Solution:37. यदि 2(cosθ + secθ) = 5, sec²θ + cos²θ का मान क्या है? [RRB NTPC 23/07/2021 (Evening)](a) 4/17 (b) 25/4 (c) 17/4(d) 4/4Correct Answer: (c) 17/4Solution:38. यदि x = 3cosAcosB, y = 3cosAsinB और z = 3sinA, x² + y² + z² का मान ज्ञात कीजिए। [RRB NTPC 23/07/2021 (Evening)](a) 6 (b) 3 (c) 12 (d) 9Correct Answer: (d) 9Solution:39. sin²5° + sin²10° + sin²80° + sin²85° का मान क्या है ? [RRB NTPC 23/07/2021 (Evening)](a) 0 (b) 2(c) 1 (d) 3Correct Answer: (b) 2Solution:40. यदि secθ + tanθ = 2 + √3 , तो cosθ = ? [RRB NTPC 24/07/2021 (Morning)](a) √3 (b) 2 (c) 1/2(d) √3/2Correct Answer: (c) 1/2Solution:Submit Quiz« Previous12345Next »