प्रकाश और प्रकाशिकी (भौतिक विज्ञान) (Part-IV)

Total Questions: 50

21. इंद्रधनुष एक प्राकृतिक घटना है जो दर्शाती है: [RRB NTPC CBT-1 (19/03/2021) Morning]

Correct Answer: (d) प्रकीर्णन
Solution:
  • प्रकाश का उसके घटक रंगों में विखंडन । उदाहरण : इंद्रधनुष - इंद्रधनुष के रंग (लाल, नारंगी, पीला, हरा, नीला, आसमानी, बैंगनी)।
  • निर्माण प्रक्रिया
    • सूर्य का श्वेत प्रकाश जल बूंदों में प्रवेश करते समय अपवर्तित होता है।
    • बूंद के अंदर पूर्ण आंतरिक परावर्तन के बाद बाहर निकलते समय विभिन्न रंग अलग-अलग कोणों पर विक्षेपित होकर VIBGYOR क्रम बनाते हैं।
    • बैंगनी सबसे अधिक (छोटी λ), लाल सबसे कम (लंबी λ) विक्षेपित होता है।
  • शर्तें
    • सूर्य प्रेक्षक के पीछे ~42° कोण पर।
    • सामने वर्षा की बूंदें (1-2 mm व्यास)।
    • प्राथमिक इंद्रधनुष: लाल बाहर, बैंगनी अंदर।
    • द्वितीयक: रंग क्रम उल्टा, कम चमक।
  • वैज्ञानिक महत्व
    • न्यूटन के प्रिज्म प्रयोग का प्राकृतिक रूप।
    • अपवर्तनांक का तरंगदैर्ध्य निर्भरता सिद्ध करता है।

22. हजामत बनाने के लिए किस दर्पण का प्रयोग किया जाता है? [RRB NTPC CBT-1 (27/03/2021) Morning]

Correct Answer: (c) अवतल
Solution:
  • अवतल दर्पण के अन्य उपयोग - सिर दर्पण, नेत्रदर्शी, हेडलाइट्स, सौर भट्टियां, खगोलीय दूरबीन।
  • कारण
    • चेहरे को दर्पण के ध्रुव (P) और फोकस (F) के बीच रखने पर बड़ा, सीधा और आभासी प्रतिबिंब बनता है।
    • आवर्धन सूत्र  से प्रतिबिंब वस्तु से बड़ा दिखता है।
    • बारीक बाल स्पष्ट दिखते हैं, जिससे सटीक शेविंग संभव होती है।
  • अन्य दर्पण क्यों नहीं
    • उत्तल दर्पण: छोटा प्रतिबिंब → बारीक कार्य असंभव।
    • समतल दर्पण: सामान्य आकार → आवर्धन नहीं।

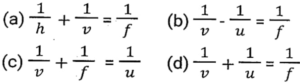
23. निम्नलिखित में से कौन लेंस सूत्र का प्रतिनिधित्व करता है? [RRB NTPC CBT-1 (27/03/2021) Evening]

Correct Answer: (b)
Solution:
  • लेन्स सुत्र → 1/v - 1/u = 1/f धन
  • संवर्धित सुत्र करता त्रिज्या = 2 × फोकस दूरी।
  • लेन्स का सुत्र n = sin i / sin r (जहाँ i आपतन का
  • कोण है और r अपवर्तन का कोण है), दर्पण सुत्र →
  • 1/v + 1/u = 1/f (जहाँ f फोकस दूरी है v प्रतिबिम्ब
  • की दूरी है और u वस्तु की दूरी है), लेन्स की क्षमता
  • P = 1/फोकस दूरी, आवर्धन (वर्धन) = प्रतिबिम्ब
  • की ऊचाई/वस्तु की ऊचाई।
  • लेंस सूत्र का सही रूप है:
    • ▭(1/v-1/u=1/f)
    • यही लेंस सूत्र (Lens formula) को दर्शाता है।
  • लेंस सूत्र क्या बताता है?
    • यह सूत्र किसी लेंस की: वस्तु दूरी u (optical center से वस्तु तक),
    • प्रतिबिंब दूरी v (optical center से प्रतिबिंब तक),फोकस दूरी f (optical center से फोकस तक) के बीच संबंध देता है।
    • सभी दूरी मुख्य अक्ष पर optical center से मापी जाती हैं, और संकेत परिपाटी (sign convention) इस प्रकार है:
    • लेंस के बाएँ (आने वाली किरणों की दिशा के विपरीत) दूरी ऋणात्मक।
    • लेंस के दाएँ (किरणों की दिशा में) दूरी धनात्मक।
  • महत्वपूर्ण बिंदु
    • यह सूत्र उत्तल और अवतल दोनों पतले लेंसों के लिए लागू होता है, केवल f का चिन्ह बदलता है (उत्तल के लिए f>0, अवतल के लिए f<0)।
    • सूत्र से हम किसी भी दो राशियाँ जानकर तीसरी निकाल सकते हैं, जैसे कैमरा, चश्मा, माइक्रोस्कोप में।
    • उदाहरण: यदि किसी उत्तल लेंस के लिए f=+10 cm और u=-15 cm हो, तो 1/v-1/(-15)=1/10⇒v निकालकर प्रतिबिंब की स्थिति ज्ञात करते हैं।

24. निम्नलिखित में से किस प्रकार का प्रकाश टेलीविजन रिमोट से उसके द्वारा नियंत्रित डिवाइस तक सिग्नल पहुंचाता है? [RRB NTPC CBT-1 (31/07/2021) Morning]

Correct Answer: (d) इन्फ्रारेड
Solution:
  • इन्फ्रारेड (IR) प्रकाश का उपयोग विद्युत हीटरों, भोजन पकाने के लिए कुकर, ऑप्टिकल फाइबर, सुरक्षा प्रणालियों और थर्मल इमेजिंग कैमरों द्वारा किया जाता है
  • जो अंधेरे में लोगों का पता लगाते हैं। पराबैंगनी विकिरण का व्यापक रूप से औद्योगिक प्रक्रियाओं और चिकित्सा और दंत चिकित्सा अभ्यास में उपयोग किया जाता है।
  • एक्स-रे का उपयोग हड्डी के फ्रैक्चर को स्कैन करने के लिए किया जाता है।
  • कार्यप्रणाली
    • रिमोट में IR LED (इन्फ्रारेड लाइट एमिटिंग डायोड) होता है जो बटन दबाने पर 38 kHz पर मॉड्यूलेटेड पल्स भेजता है।
    • टीवी/डीवीडी में IR फोटोडायोड सेंसर इसे ग्रहण करता है।
    • कोड (0s और 1s) डीकोड होकर कमांड (चैनल बदलना, वॉल्यूम) में बदल जाता है।
  • विशेषताएँ
    • तरंगदैर्ध्य: 700 nm - 1 mm (दृश्य प्रकाश से अधिक)।
    • दिशात्मक: सीधी रेखा में 10-30 फीट तक।
    • अदृश्य: आँखों को दिखाई नहीं देता, कैमरा लेंस से दिखता है।
  • लाभ
    • कम बिजली खपत।
    • छोटा आकार।
    • सस्ता निर्माण।
    • RF रिमोट (ब्लूटूथ) दीवारों से भी काम करते हैं लेकिन महंगे होते हैं।

25. यदि वस्तु को अनंत और किसी अवतल लेंस के ऑप्टिक सेंटर ० के बीच रखा जाता है, तो अपवर्तन के बाद प्रतिबिंब कैसा बनेगा? [RRB JE 22/05/2019 (Afternoon)]

Correct Answer: (a) छोटा
Solution:
  • अवतल लेंसः एक लेंस जो प्रकाश की पुंज को अपसरित करता है।
  • स्रोत से प्रकाश एक मंद, आभासी या वास्तविक और लंबवत भीतर की ओर प्रतिबिंब के रूप में अपवर्तित होता है।
  • उदाहरणः दूरबीन, टेलीस्कोप, चश्मा, टॉर्च, घर के अंदर स्पाईहोल।
  • प्रतिबिंब निर्माणः वस्तु अनंत परः आभासी, सीधा, आकार में अत्यधिक छोटा लगभग बिंदु के आकार का ।
  • अनंत और प्रकाशीय केंद्र के बीच वस्तुः अवतल लेंस के फोकस और प्रकाशीय केंद्र के बीच वस्तु का एक आभासी, सीधा और छोटे आकार का प्रतिबिंब बनता है।
  • बना प्रतिबिंब हमेशा:
    • स्थिति: लेंस के फोकस F और ऑप्टिक सेंटर O के बीच
    • प्रकृति: आभासी (virtual) और सीधा (erect)
    • आकार: वस्तु से छोटा (diminished) होता है।
  • मुख्य बिंदु (अवतल लेंस के लिए सामान्य नियम)
    • अवतल लेंस को अपसारी (diverging) लेंस कहते हैं।
    • वस्तु अनंत पर हो या किसी भी सीमित दूरी (O और ∞ के बीच) पर हो, अवतल लेंस द्वारा बना प्रतिबिंब:
    • हमेशा लेंस की उसी ओर बनता है जिस ओर वस्तु है।
    • हमेशा आभासी, सीधा और छोटा होता है।

26. उत्तल लेंस द्वारा अपवर्तन के बाद 2F2, से परे एक आवर्धित वास्तविक उलटा प्रतिबिंब प्राप्त करने के लिए, वस्तु को कहाँ रखा जाना चाहिए? [RRB JE 22/05/2019 (Evening)]

Correct Answer: (a) F₁ और 2F, के बीच
Solution:
  • उत्तल लेंसः प्रकाश की वह अभिसारी किरणें जो अपने मुख्य अक्ष के समानांतर संचारित होती हैं
  • (अर्थात आपतित किरणों को मुख्य अक्ष की ओर परिवर्तित करती हैं) जो बीच में अपेक्षाकृत मोटी और निचले और ऊपरी किनारों (दोनों किनारों पर) पर पतली होती हैं।
  • किनारे अंदर की बजाय बाहर की ओर मुड़े हुए हैं। बनने वाली प्रतिबिंबयाँ वास्तविक एवं उलटा प्रतिबिंब होती हैं
  • जब वस्तु की स्थिति है: अनंत पर (प्रतिविम्ब (अत्यधिक कम) फोकस F2 पर }, 2F, पर { प्रतिविम्ब (समान आकार) - 2F2 पर), 2F, से दूर (प्रतिविम्ब (अत्याधिक छोटा) - F2 और 2F2 के बीच), फोकस F, पर (प्रतिविम्ब (अत्यधिक बड़ा) - अनंत पर)।
  • विस्तृत व्याख्या
    • उत्तल लेंस के लिए छवि निर्माण के नियम:
    • वस्तु की स्थिति     →    प्रतिबिंब की स्थिति     →    प्रतिबिंब का प्रकार
    • F और 2F के बीच     →    2F₂ से परे           →    वास्तविक, उलटा, आवर्धित (m > 1)
  • कारण:
    • उत्तल लेंस सूत्र: 1/v - 1/u = 1/f
  • संकेत परिपाटी (New Cartesian Sign Convention):
    • वस्तु दूरी (u): हमेशा ऋणात्मक (-ve)
    • उत्तल लेंस की फोकस दूरी (f): धनात्मक (+ve)
    • वास्तविक प्रतिबिंब (v): धनात्मक (+ve)
  • उदाहरण गणना:
    • यदि f = +20 cm, वस्तु u = -25 cm (F और 2F के बीच):
    • 1/v - 1/(-25) = 1/20
    • 1/v + 1/25 = 1/20
    • 1/v = 1/20 - 1/25 = (5-4)/100 = 1/100
    • v = +100 cm (> 2F₂ = 40 cm)
    • आवर्धन m = -v/u = -100/25 = -4 (> 1)
  • परिणाम:
    • 2F₂ से परे (+100 cm), वास्तविक (+ve), उलटा (-ve), आवर्धित (|m| > 1)

27. अवतल लेंस के मुख्य फोकस पर मिलती हुई प्रतीत होनी वाली प्रकाश किरण, अपवर्तन के बाद निकलेगी। [RRB JE 23/05/2019 (Morning)]

Correct Answer: (a) मुख्य अक्ष के समानांतर
Solution:
  • अवतल लेंस के माध्यम से अपवर्तनः जब किसी वस्तु को अनंत पर रखा जाता है
  • तो फोकस पर एक बिंदु आकार (अत्यधिक छोटा), आभासी और सीधा प्रतिबिंब बनता है।
  • जब किसी वस्तु को लेंस से एक सीमित दूरी पर (या लेंस के अनंत और ऑप्टिकल केंद्र ० के बीच) रखा जाता है
  • तो अवतल लेंस के ऑप्टिकल केंद्र और फोकस के बीच एक छोटी, आभासी और सीधी प्रतिबिंब बनती है।
  • अवतल लेंस के प्रथम मुख्य फोकस (F₁) का नियम:
    • अवतल लेंस के मुख्य फोकस F₁ की दिशा से आती हुई किरण (वास्तविक नहीं, केवल प्रतीत होती हुई):
    • लेंस के प्रकाशिक केंद्र O से अपवर्तित होकर गुजरती है
    • अपवर्तन के बाद मुख्य अक्ष के समांतर हो जाती है
    • F₁ ← किरण (प्रतीत) → O → समांतर किरण (अपवर्तन के बाद)
  • क्यों होता है ऐसा?
    • अवतल लेंस अपसारी होता है। F₁ पर मिलने वाली किरण वास्तव में F₁ से नहीं आ रही, बल्कि दूर से आ रही है।
    • लेंस इसे अपवर्तित करके मुख्य अक्ष के समांतर कर देता है।
    • पीछे की ओर बढ़ाने पर यह F₁ पर मिलेगी।
  • उदाहरण:
    • चश्मा: दूर की वस्तुओं का प्रतिबिंब F₁ और O के बीच बनता है
    • दृष्टि दोष सुधार: मायोपिया में अवतल लेंस यही नियम उपयोग करता है

28. हवा से कांच के प्रिज्म में प्रवेश करने वाली प्रकाश किरणें किस प्रकार झुकेंगी? [RRB JE 23/05/2019 (Morning)]

Correct Answer: (d) अभिलंब की ओर
Solution:
  • अपवर्तन प्रकाश का मुड़ना है जब यह एक पारदर्शी पदार्थ से दूसरे में गुजरता है।
  • विरल से सघन माध्यम में प्रकाश की किरण अभिलंब की ओर झुक जाती है और सघन से विरल माध्यम में प्रकाश की किरण अभिलंब से दूर जाती है।
  • कारण
    • स्नेल का नियम: जब प्रकाश विरल माध्यम (हवा) से सघन माध्यम (कांच) में जाता है, तो अपवर्तन कोण r < आपतन कोण i होता है।
    • अर्थात्, किरण सामान्य (अभिलंब) के करीब झुक जाती है।
    • सूत्र: n=sin⁡i/sin⁡r
  • प्रिज्म में प्रक्रिया
    • हवा → प्रिज्म सतह → कांच
    • आपतन कोण i
    • ↓ अपवर्तन
    • अपवर्तन कोण r (i से छोटा)
  • चित्रण:
    •   i
    • ↘️ ↙️ (अभिलंब)
    • प्रकाश → प्रिज्म
    •      r
  • महत्वपूर्ण तथ्य
    • प्रिज्म के अंदर: सभी रंग अभिलंब की ओर झुकते हैं (बैंगनी सबसे अधिक, लाल सबसे कम)
    • विकिरण: विभिन्न अपवर्तन कोण → VIBGYOR स्पेक्ट्रम
    • बाहर निकलते समय: पुनः अभिलंब से दूर झुकाव
  • विपरीत स्थिति
    • कांच से हवा में: अभिलंब से दूर झुकाव (पूर्ण आंतरिक परावर्तन संभव)
    • यह प्रकाश अपवर्तन का मूल सिद्धांत है, जिससे प्रिज्म, लेंस, इंद्रधनुष आदि समझ में आते हैं।

29. दंत चिकित्सक दांतों के आवर्धित प्रतिबिंब देखने के लिए किस प्रकार के दर्पणों का उपयोग करते हैं? [RRB JE 23/05/2019 (Evening)]

Correct Answer: (d) अवतल दर्पण
Solution:
  • एक गोलाकार दर्पण, जिसकी परावर्तक सतह अंदर की ओर मुड़ी होती है, अर्थात गोले के केंद्र की ओर होती है।
  • इसका उपयोग आमतौर पर प्रकाश की शक्तिशाली समानांतर किरणें प्राप्त करने के लिए टॉर्च, सर्च-लाइट और वाहन के हेडलाइट्स में किया जाता है।
  • इसका उपयोग चेहरे की बड़ी प्रतिबिंब देखने के लिए शेविंग दर्पण के रूप में किया जाता है।
  • कारण
    • अवतल दर्पण में जब दांतों को फोकस (F) और ध्रुव (P) के बीच रखा जाता है, तो बड़ा, सीधा और आभासी प्रतिबिंब बनता है।
    • आवर्धन सूत्र:  (वस्तु से बड़ा)।
    • इससे दांतों की बारीक दरारें, कीड़े या मसूड़ों की समस्या स्पष्ट दिखती है।
  • व्यावहारिक उपयोग
    • दंत चिकित्सक: दांतों की जाँच, भराई, सफाई।
    • ENT डॉक्टर: गले, कान की जाँच के लिए भी।
    • शेविंग मिरर: एकसमान उपयोग।

30. एक अवतल लेंस के मुख्य अक्ष के समानांतर स्थित वस्तु से निर्गत प्रकाश की किरण, अपवर्तन के बाद लेंस के उसी तरफ किस बिंदु की ओर झुकती हुई प्रतीत होती है? [RRB JE 24/05/2019 (Morning)]

Correct Answer: (a) मुख्य फोकस
Solution:
  • वक्रता केंद्रः गोले का केंद्र जिससे लेंस का एक भाग बनता है।। फोकस दूरी लेंस के ऑप्टिकल केंद्र और मुख्य फोकस के बीच की दूरी है।
  • ऑप्टिकल सेंटर लेंस का केंद्र बिंदु होता है। अवतल लेंस एक ऐसा लेंस है
  • जो स्रोत से सीधी प्रकाश किरण को एक छोटा, सीधा, आभासी प्रतिविम्ब की ओर मोड़ता है। इसमे बनने वाला प्रतिबिम्ब आभासी एवं सीधा होता है।
  • मुख्य अक्ष के समांतर आने वाली किरण:
    • अवतल लेंस से अपवर्तित होकर अपसारित (diverging) हो जाती है
    • अपवर्तित किरणों को पीछे की ओर बढ़ाने पर वे द्वितीय मुख्य फोकस F₂ पर मिलती हैं
    • इसलिए दर्शक को किरणें F₂ से आती हुई प्रतीत होती हैं
    • वस्तु → समांतर किरण → लेंस → अपसारित किरणें
    •                             ↓ (पीछे बढ़ाने पर)
    •                            F₂ पर मिलती हैं
  • चित्रण
    •        समांतर किरण
    • वस्तु ─────────→ O ──────┐ अपसारित किरणें
    •                        ↙  ↘
    •                       F₂ (प्रतीत)
  • क्यों होता है ऐसा?
    • अवतल लेंस अपसारी होता है। समांतर किरणें लेंस से होकर गुजरने के बाद फैल जाती हैं।
    • आभासी फोकस F₂ पर पीछे की ओर बढ़ाने पर ही मिलती हैं।
  • व्यावहारिक उपयोग
    • मायोपिया चश्मा: दूर की वस्तुओं का प्रतिबिंब F₂ और O के बीच बनता है
    • दृष्टि सुधार: यह नियम निकट दृष्टि दोष के उपचार में आधारभूत है