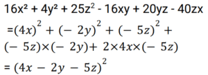
बीजगणित Part-3Total Questions: 5031. यदि (a – b) = 8 और (a² + b²) = 160 है, तो ab का मान ज्ञात कीजिए [Group D 12/09/2022 (Morning)](a) 32(b) 40(c) 36(d) 48Correct Answer: (d) 48Solution:32. समीकरण 11x² + 19x + 8 = 0 के मूलों की प्रकृति के संबंध में इनमें से कौन सा कथन सत्य है? [Group D 12/09/2022 (Morning)](a) दोनों मूल ऋणात्मक वास्तविक हैं(b) एक मूल धनात्मक वास्तविक है, और एक ऋणात्मक वास्तविक है(c) दोनों मूल, काल्पनिक या अवास्तविक हैं(d) दोनों मूल धनात्मक वास्तविक हैंCorrect Answer: (a) दोनों मूल ऋणात्मक वास्तविक हैंSolution:33. दो धनात्मक संख्याओं का योगफल 34 है और उनका गुणनफल 64 है। उनके बीच धनात्मक अंतर ज्ञात कीजिए। [Group D 12/09/2022 (Morning)](a) 40(b) 30(c) 50(d) 60Correct Answer: (b) 30Solution:34. समीकरण x² + 2x – 6 = 0 के मूल ज्ञात कीजिए । [Group D 12/09/2022 (Afternoon)](a) – 1 ± √7(b) – 3 ± √7(c) – 1 ± √5(d) – 2 ± √7Correct Answer: (a) – 1 ± √7Solution:35. समीकरण x² + x + 12 = 0 के मूलों की प्रकृति के संबंध में इनमें से कौन सा कथन सत्य है ? [Group D 12/09/2022 (Evening)](a) दोनों मूल धनात्मक, वास्तविक हैं।(b) एक मूल काल्पनिक है, और एक वास्तविक है।(c) दोनों मूल ऋणात्मक, वास्तविक हैं।(d) दोनों मूल, काल्पनिक या गैर वास्तविक हैं।Correct Answer: (d) दोनों मूल, काल्पनिक या गैर वास्तविक हैं।Solution:36. वह द्विघात समीकरण ज्ञात कीजिए, जिसके मूलों का योगफल (– 3/5) है, और मूलों का गुणनफल 2/5 है । [Group D 12/09/2022 (Evening)](a) 5x² – 2x + 7 = 0(b) 5x² – 7x + 2 = 0(c) 5x² – 3x + 2 = 0(d) 5x² – x + 1 = 0Correct Answer: (c) 5x² – 3x + 2 = 0Solution:हम जानते है कि, 37. निम्न में से कौन सा समीकरण (x + 2)³ = x (x² – 1) को मानक रूप में निरूपित करता है? [Group D 13/09/2022 (Morning)](a) x² + 12x + 8 = 0(b) 4x² + 10x + 7 = 0(c) 6x² + 11x + 6 = 0(d) 6x² + 13x + 8 = 0Correct Answer: (d) 6x² + 13x + 8 = 0Solution:38. निम्न में से कौन सा द्विघात समीकरण 4x² – 7√3 x + 12 = 0 ? के मूलों की प्रकृति का वर्णन करता है? [Group D 13/09/2022 (Afternoon)](a) एक वास्तविक मूल और एक काल्पनिक मूल(b) दो भिन्न वास्तविक मूल(c) कोई वास्तविक मूल नहीं(d) दो समान मूलCorrect Answer: (c) कोई वास्तविक मूल नहींSolution:39. समीकरण 4x² – 5x – 3 = 0 का विविक्तकर ज्ञात कीजिए। [Group D 13/09/2022 (Evening)](a) 73(b) – 73(c) 23(d) – 23Correct Answer: (a) 73Solution:40. 16x² + 4y² + 25z² – 16xy + 20yz – 40zx के बराबर है। [Group D 13/09/2022 (Evening)](a) (4x + 2y – 5z)²(b) (4x – 2y + 5z)²(c) (4x + 2y + 5z)²(d) (4x – 2y – 5z)²Correct Answer: (d) (4x – 2y – 5z)²Solution:Submit Quiz« Previous12345Next »