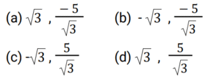
बीजगणित Part-3Total Questions: 5041. यदि (2⁻²ᵏ × 4ᵏ ⁺ ³) / 4⁻ᵏ ⁺ ² = 2ᵏ ⁻ ² है, तो k का मान ज्ञात कीजिए। [Group D 14/09/2022 (Morning)](a) 1(b) – 4(c) – 1(d) 2Correct Answer: (b) – 4Solution:42. (x – y)(x + y) + (y – z)(y + z) + (z + x)(z – x) का मान है: [Group D 14/09/2022 (Morning)](a) x + y + z(b) 1(c) 0(d) x² + y² + z²Correct Answer: (b) 1Solution:43. द्विघात समीकरण x² – 10x + 21 = 0 के मूल ज्ञात कीजिए। [Group D 14/09/2022 (Morning)](a) 7, 3(b) 3, – 7(c) – 7, – 3(d) 7, – 3Correct Answer: (a) 7, 3Solution:44. दिए गए प्रश्न का उत्तर ज्ञात कीजिए ? [Group D 14/09/2022 (Morning)](a) 1/3(b) 1(c) 5(d) – 1Correct Answer: (b) 1Solution:45. यदि (5³ⁿ ⁺ ²) / (5⁴ⁿ ⁻ ¹) = 25 है, तो n का मान ज्ञात कीजिए। [Group D 14/09/2022 (Afternoon)](a) – 1(b) 5(c) 2(d) 1Correct Answer: (d) 1Solution:46. x² + 10x + 21 = 0 के मूल ज्ञात कीजिए [Group D 14/09/2022 (Afternoon)](a) 7, 3(b) 3, – 7(c) 7, – 3(d) – 3, – 7Correct Answer: (d) – 3, – 7Solution:47. 999³ का मान ज्ञात कीजिए। [Group D 14/09/2022 (Evening)](a) 997002999(b) 997003999(c) 997004999(d) 997005999Correct Answer: (a) 997002999Solution:48. 49a² + 70ab + 25b² के गुणनखंड ज्ञात कीजिए। [Group D 14/09/2022 (Evening)](a) (5a – 7b)²(b) (7a + 5b)²(c) (5a + 7b)²(d) (7a – 5b))²Correct Answer: (b) (7a + 5b)²Solution:49. समीकरण √3x² – 8x + 5√3 = 0 के मूल ज्ञात कीजिए। [Group D 14/09/2022 (Evening)](a)(b)(c)(d)Correct Answer: (d)Solution:50. यदि – (2/3), समीकरण kx² – 13x – 10 = 0 का एक मूल है, तो k का मान ज्ञात कीजिए । [Group D 14/09/2022 (Evening)](a) 3(b) 1(c) 2(d) 4Correct Answer: (a) 3Solution:Submit Quiz« Previous12345