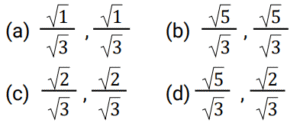
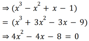
बीजगणित Part-4Total Questions: 5011. यदि α, β द्विघात समीकरण 2x² − 3x − 35 = 0 के मूल हैं, तो α³ + β³ का मान ज्ञात कीजिए। [Group D 16/09/2022 (Afternoon)](a) 757/8(b) 657/8(c) 857/8(d) 957/8Correct Answer: (b) 657/8Solution:12. यदि 25 − (x² − 9) = (81)¹ᐟ² है, तो x का धनात्मक मान ज्ञात कीजिए। [Group D 16/09/2022 (Afternoon)](a) 5(b) 2(c) 4.7(d) 2.5Correct Answer: (a) 5Solution:13. निम्न में से कौन सा द्विघात समीकरण (x² + 1)(x − 1) = (x² − 3)(x + 3) का मानक निरूपण है? [Group D 16/09/2022 (Evening)](x²+1)(x-1) = (x²-3)(x+3)?(a) x² − 3x − 4 = 0(b) 4x² − x − 6 = 0(c) 4x² − 8 = 0(d) 4x² − 4x − 8 = 0Correct Answer: (d) 4x² − 4x − 8 = 0Solution:14. द्विघात समीकरण का विविक्तक 0 है। द्विघात समीकरण में: [Group D 17/09/2022 (Morning)](a) दो समान वास्तविक मूल होंगे(b) एक भी वास्तविक मूल नहीं होगा(c) तीन भिन्न वास्तविक मूल होंगे(d) दो भिन्न वास्तविक मूल होंगेCorrect Answer: (a) दो समान वास्तविक मूल होंगेSolution:15. द्विघात समीकरण 2x² − 4x − 3 = 0 के विविक्तक का मान ज्ञात कीजिए। [Group D 17/09/2022 (Afternoon)](a) 24(b) 36(c) 40(d) 16Correct Answer: (c) 40Solution:16. यदि α, β द्विघात समीकरण 3x² − 9x + 8 = 0 के मूल हों, तो (α/β + β/α) + 4(1/α + 1/β) का मान ज्ञात कीजिए। [Group D 17/09/2022 (Afternoon)](a) 6.125(b) 7.225(c) 4.825(d) 5.875Correct Answer: (d) 5.875Solution:17. द्विघात समीकरण x + 10/x = 7 के मूल क्या होंगे? [Group D 17/09/2022 (Evening)](a) −2, 5(b) 5, 2(c) 2, −5(d) 5, −1Correct Answer: (b) 5, 2Solution:18. यदि c/d + d/c = 1 है, तो (c³ − d³) / (dc² − cd²) का मान निम्नलिखित में से कितना होगा? [Group D 18/09/2022 (Morning)](a) −1(b) 1(c) 0(d) 2Correct Answer: (d) 2Solution:19. द्विघात समीकरण 3x² − 2√6 x + 2 = 0 के मूल ज्ञात कीजिए। [Group D 18/09/2022 (Morning)](a)(b)(c)(d)Correct Answer: (c)Solution:20. वह द्विघात समीकरण ज्ञात कीजिए, जिसके मूल 1/√2 और 1/√2 हैं? [Group D 18/09/2022 (Morning)](a) 2x² − 2√2 x + 2 = 0(b) 2x² − 3√2 x + 2 = 0(c) 2x² − 3√2 x + 1 = 0(d) 2x² − 2√2 x + 1 = 0Correct Answer: (d) 2x² − 2√2 x + 1 = 0Solution:Submit Quiz« Previous12345Next »