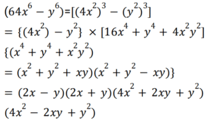
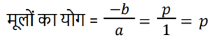
बीजगणित Part-4Total Questions: 5021. x² − px + q = 0 के मूलों का योगफल ज्ञात कीजिए। [Group D 18/09/2022 (Morning)](a) −p(b) 1/p(c) p(d) qCorrect Answer: (c) pSolution:22. यदि समीकरण x² − px + 15 = 0 का एक मूल 3 है, और द्विघात समीकरण x² + px + q = 0 के मूल समान हैं, तो q का मान कितना होगा? [Group D 18/09/2022 (Evening)](a) 16(b) 12(c) 64(d) 32Correct Answer: (a) 16Solution:23. निम्न में से कौन सा मानक रूप में लिखा गया द्विघात समीकरण है? [Group D 18/09/2022 (Evening)](a) 5x² + 3x − 1 = 0(b) 5x² + 3x = 1/x(c) x⁻² + 7x = 8(d) x³ + 5x² + 3 = x⁴Correct Answer: (a) 5x² + 3x − 1 = 0Solution:24. (64x⁶ − y⁶) का गुणनखण्ड ज्ञात कीजिए। [Group D 19/09/2022 (Morning)](a) (2x − y)(2x + y)(4x² − 2xy + y²)(4x² − 2xy − y²)(b) (2x − y)(2x + y)(4x² + 2xy + y²)(4x² − 2xy + y²)(c) (2x − y)(2x + y)(4x² + 2xy + y²)(4x² − 2xy − y²)(d) (2x − y)(2x + y)(4x² + 2xy − y²)(4x² − 2xy + y²)Correct Answer: (b) (2x − y)(2x + y)(4x² + 2xy + y²)(4x² − 2xy + y²)Solution:25. निम्न में से कौन सा द्विघात समीकरण (x − 4)(x + 1) = 2 का मानक प्रतिनिधित्व है? [Group D 19/09/2022 (Morning)](a) x² − 3x − 6 = 0(b) x² − 4x − 2 = 0(c) x² − x − 2 = 0(d) x² − 3x − 4 = 0Correct Answer: (a) x² − 3x − 6 = 0Solution:26. द्विघात समीकरण 5x² + 7x + 4 = 0 में किस प्रकार की मूल हैं? [Group D 19/09/2022 (Morning)](a) कोई वास्तविक मूल नहीं(b) केवल एक वास्तविक मूल(c) वास्तविक और समान मूल(d) वास्तविक और असमान मूलCorrect Answer: (a) कोई वास्तविक मूल नहींSolution:27. समीकरण (x + 1)³ − (x − 1)³ = 0 निम्नलिखित में से क्या है? [Group D 19/09/2022 (Afternoon)](a) वास्तविक मूलों वाला रैखिक समीकरण(b) वास्तविक मूलों वाला द्विघात समीकरण(c) अवास्तविक मूलों वाला द्विघात समीकरण(d) अवास्तविक मूलों वाला रैखिक समीकरणCorrect Answer: (c) अवास्तविक मूलों वाला द्विघात समीकरणSolution:28. यदि px² + qx + r = 0 के मूल α, β हैं, तो α² + β² होगा [Group D 19/09/2022 (Afternoon)](a) (q² + 2pr) / p²(b) (q² − 2qr) / p²(c) 2pq(d) −2pqCorrect Answer: (b) (q² − 2qr) / p²Solution:29. यदि a² − 4a + 1 = 0 हो, तो a² + 1/a² का मान ज्ञात कीजिए। [Group D 19/09/2022 (Afternoon)](a) 14(b) 16(c) 18(d) 12Correct Answer: (a) 14Solution:a²– 4a + 1 = 030. यदि a = x / (2x + y + z) = y / (x + 2y + z) = z / (x + y + 2z) हो, तो a का मान ज्ञात कीजिए। [Group D 19/09/2022 (Afternoon)](a) 3/2(b) 1/4(c) 1/2(d) 2/5Correct Answer: (b) 1/4Solution:Submit Quiz« Previous12345Next »