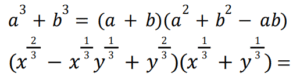
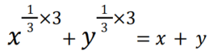
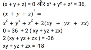
बीजगणित Part-4Total Questions: 5031. नीचे दिए गए विकल्पों में से कौन सा विकल्प द्विघात समीकरण के मूलों की प्रकृति का सही वर्णन करता है: x² + 4√3 x + 3 = 0 ? [Group D 19/09/2022 (Evening)](a) अपरिमेय और समान(b) अपरिमेय और असमान(c) परिमेय और समान(d) परिमेय और असमानCorrect Answer: (b) अपरिमेय और असमानSolution:32. दिए गए प्रश्न का उत्तर ज्ञात कीजिए ? [Group D 19/09/2022 (Evening)](a) 2, 3(b) 1, 8(c) 2, 8(d) 1, 3Correct Answer: (d) 1, 3Solution:33. समीकरण 4x² − 1 = 0 का धनात्मक मूल क्या होगा? [Group D 20/09/2022 (Morning)](a) 1/2(b) 1/4(c) 1(d) 2Correct Answer: (a) 1/2Solution:34. यदि परिमेय गुणांक वाले द्विघात समीकरण का एक मूल 2 + √3 है, तो द्विघात समीकरण इस प्रकार दिया जाता है [Group D 20/09/2022 (Morning)](a) x² = 2 − √3(b) x² − 4x + 1 = 0(c) x² + 4x − 1 = 0(d) x² − 2 = 0Correct Answer: (b) x² − 4x + 1 = 0Solution:35. यदि (x + y + z) = 0 और x² + y² + z² = 36, तो xy + yz + zx का मान क्या होगा? [Group D 20/09/2022 (Morning)](a) −18(b) −6(c) 18(d) −28Correct Answer: (a) −18Solution:36. दिए गए प्रश्न का उत्तर ज्ञात कीजिए ? [Group D 20/09/2022 (Morning)](a) x − y(b) 1/x + 1/y(c) 1/x − 1/y(d) x + yCorrect Answer: (d) x + ySolution:37. यदि द्विघात समीकरण की दो मूल −3 और 3 हैं, तो द्विघात समीकरण ______ होगा। [Group D 20/09/2022 (Afternoon)](a) x² + 5 = 0(b) 9x² − 1 = 0(c) x² − 9 = 0(d) x² − 6 = 0Correct Answer: (c) x² − 9 = 0Solution:38. यदि समीकरण x² − 5x + 6 = 0 के मूल a, b हैं, तो a² + b² − ab का मान होगा। [Group D 20/09/2022 (Evening)](a) −7(b) 9(c) 7(d) 43Correct Answer: (c) 7Solution:39. 6√3 x² + 3√3 + 5x = 0 के मूलों का गुणनफल ज्ञात कीजिए। [Group D 20/09/2022 (Evening)](a) 1/2(b) 1(c) √3(d) 0Correct Answer: (a) 1/2Solution:40. समीकरण 5x² − 3x − 4 = 0 के मूलों के व्युत्क्रम मूलों वाला समीकरण निम्न में से कौन सा है? [Group D 22/09/2022 (Morning)](a) 4x² − 3x − 5 = 0(b) 4x² + 3x − 5 = 0(c) 4x² − 3x + 5 = 0(d) 4x² − 3x + 5 = 0Correct Answer: (b) 4x² + 3x − 5 = 0Solution:Submit Quiz« Previous12345Next »