बीजगणित Part-5

Total Questions: 50

11. निम्नलिखित में से कौन सा द्विघात समीकरण का प्रतिनिधित्व करता है? [Group D 27/09/2022 (Evening)]

Correct Answer: (c) 5x² + 4x − 2 = 7x
Solution:

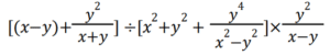
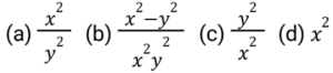
12. दिए गए व्यंजक को सरल कीजिए: [ Group D 27/09/2022 ( Evening ) ]


Correct Answer: (c)
Solution:

13. यदि द्विघात समीकरण 7x² + kx − 3 = 0 का एक हल x = 2/3 है, तो k का मान निम्नलिखित में से किस समीकरण को संतुष्ट करता है? [Group D 27/09/2022 (Evening)]

Correct Answer: (d) 12k² − 4k − 1 = 0
Solution:

14. दिए गए व्यंजक को सरल कीजिए: x² + 3x + 12 − 2(x³ − x + 4) [Group D 28/09/2022 (Morning)]

Correct Answer: (d) 4 + 5x + x² − 2x³
Solution:

15. यदि p और q समीकरण x² + 4x − 21 = 0 के मूल हैं, और p < q है, तो x के पदों में वह द्विघात समीकरण ज्ञात कीजिए, जिसके मूल (p − 1) और (q + 1) होंगे। [Group D 28/09/2022 (Morning)]

Correct Answer: (c) x² + 4x − 32 = 0
Solution:

16. यदि a और b समीकरण x² − 5x − 6 = 0 के मूल हैं, तो (a − b)² का मान ज्ञात कीजिए। [Group D 28/09/2022 (Morning)]

Correct Answer: (b) 49
Solution:

17. यदि द्विघात समीकरण ax² − 4x + 1 = 0 के मूल समान हैं, तो a का मान ज्ञात कीजिए। [Group D 28/09/2022 (Afternoon)]

Correct Answer: (d) 4
Solution:

18. यदि x + y = 5 और xy = 4 है, तो x³ + y³ का मान ज्ञात कीजिए। [Group D 28/09/2022 (Afternoon)]

Correct Answer: (b) 65
Solution:

19. द्विघात समीकरण x + 20/x = 9 के मूल ज्ञात कीजिए। [Group D 28/09/2022 (Evening)]

Correct Answer: (a) 4, 5
Solution:

20. यदि α और β समीकरण x² + 5x + 6 = 0 के मूल हैं, तो αβ − (1/α + 1/β) का मान ज्ञात कीजिए। [Group D 28/09/2022 (Evening)]

Correct Answer: (c)
Solution: