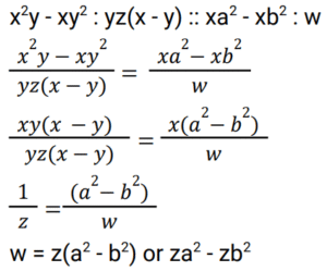
बीजगणित Part-5Total Questions: 5021. यदि दो संख्याओं का अंतर 4 है, और उनका गुणनफल 32 है, तो उनके घनों का निरपेक्ष अंतर (absolute difference) ज्ञात कीजिए। [Group D 28/09/2022 (Evening)](a) 444(b) 484(c) 844(d) 448Correct Answer: (d) 448Solution:22. यदि 2 और −3 एक द्विघात समीकरण के मूल हैं, तो द्विघात समीकरण ज्ञात कीजिए: [Group D 29/09/2022 (Morning)](a) x² + x + 6 = 0(b) x² − x − 6 = 0(c) x² + x − 6 = 0(d) x² − x + 6 = 0Correct Answer: (c) x² + x − 6 = 0Solution:23. निम्नलिखित में से कौन सा विकल्प समीकरण 1/(x + 3) + 1/(x + 5) = 1/6 के हल को दर्शाता है? [Group D 29/09/2022 (Morning)](a) x = 2 ± √37(b) x = 2 ± √39(c) x = 3 ± √37(d) x = 4 ± √37Correct Answer: (a) x = 2 ± √37Solution:24. दिए गए व्यंजक को सरल कीजिए: 2(2x − 3) + 4(x²/2 − 3x + 4) [Group D 29/09/2022 (Morning)](a) 2x² − 8x + 10(b) 2x² + 8x + 10(c) 2x² + 8x − 10(d) 2x² − 8x − 10Correct Answer: (a) 2x² − 8x + 10Solution:25. दिए गए प्रश्न का उत्तर ज्ञात कीजिए ? [Group D 29/09/2022 (Morning)](a) 4y² − 8y + 16 = 0(b) y² − 8y + 16 = 0(c) 4y² − 4y + 16 = 0(d) y² − 4y + 16 = 0Correct Answer: (b) y² − 8y + 16 = 0Solution:26. यदि a = 28 − 5√12 और b = 2 + √3 है, तो (a√3 + b) का मान ज्ञात कीजिए। [Group D 29/09/2022 (Afternoon)](a) 31 − 8√3(b) 32 + 27√3(c) −30 + 30√3(d) −28 + 29√3Correct Answer: (d) −28 + 29√3Solution:27. यदि x ≠ y, और x²y − xy² : yz(x − y) :: xa² − xb² : w, है, तो निम्नलिखित में से कौन-सा विकल्प w के समतुल्य व्यंजक को निरूपित करता है? [Group D 29/09/2022 (Afternoon)](a) za² − zb²(b) a² − b²(c) za² + zb²(d) yza² − yzb²Correct Answer: (a) za² − zb²Solution:28. उस द्विघात समीकरण को पहचानिए जिसका एक मूल 4 + √3 है। [Group D 29/09/2022 (Afternoon)](a) x² − 8x + 11 = 0(b) x² + 8x + 11 = 0(c) x² + 8x + 13 = 0(d) x² − 8x + 13 = 0Correct Answer: (d) x² − 8x + 13 = 0Solution:29. यदि 3 + 2√2 और 3 − 2√2 एक द्विघात समीकरण के मूल हैं, तो समीकरण ज्ञात कीजिए। [Group D 29/09/2022 (Evening)](a) x² − 6x + 1 = 0(b) x² − 6x − 1 = 0(c) x² + 6x + 1 = 0(d) x² + 6x − 1 = 0Correct Answer: (a) x² − 6x + 1 = 0Solution:30. यदि 2xy² : 2x²y :: 2x²y : z तो z के समतुल्य व्यंजक को निरूपित करता विकल्प कौन-सा है? [Group D 29/09/2022 (Evening)](a) 2x³(b) 2x²(c) 4x²y²(d) 4xyCorrect Answer: (a) 2x³Solution:Submit Quiz« Previous12345Next »