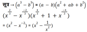
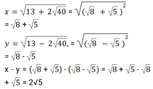
बीजगणित Part-5Total Questions: 5031. समीकरण (k + 1)x² − 13kx + 7 − 2k = 0 का एक मूल दूसरे का व्युत्क्रम है, तो k का मान ज्ञात कीजिए। [Group D 29/09/2022 (Evening)](a) −2(b) 2(c) −4(d) 4Correct Answer: (b) 2Solution:32. दिए गए प्रश्न का उत्तर ज्ञात कीजिए ? [Group D 29/09/2022 (Evening)](a) 3√2(b) 6√2(c) 2√5(d) 4√5Correct Answer: (c) 2√5Solution:33. दिए गए प्रश्न का उत्तर ज्ञात कीजिए ? [Group D 30/09/2022 (Afternoon)](a) 2401/81(b) 81/2401(c) 343/81(d) 81/343Correct Answer: (a) 2401/81Solution:34. दिए गए समीकरण को हल कीजिए: (5x² − 5) + 5(−x² + 2x − 7) = 0 [Group D 30/09/2022 (Afternoon)](a) x = 4(b) x = 2(c) x = −4(d) x = −2Correct Answer: (a) x = 4Solution:35. यदि x = 2 है, तो √(4x·x) + 4x + 1 + 5x का मान ज्ञात कीजिए। [Group D 30/09/2022 (Afternoon)](a) 13(b) 15(c) 9(d) 17Correct Answer: (b) 15Solution:36. द्विघात समीकरण 9x + 2x² = 5 के विविक्तक का मान कितना होगा? [Group D 30/09/2022 ( Evening ) ](a) 41 (b) 184 (c) –176 (d) 121Correct Answer: (d) 121Solution:37. एक संख्या और इसके व्युत्क्रम का योग –2 है। इस परिस्थिति से संबंधित द्विघात समीकरण और संख्या का चयन कीजिए। [Group D 06/10/2022 ( Morning ) ](a) x² + 2x + 1 = 0 , x = 1(b) x² + 2x – 1 = 0 , x = –1(c) x² + 2x + 1 = 0 , x = –1(d) x² – 2x + 1 = 0 , x = –1Correct Answer: (c) x² + 2x + 1 = 0 , x = –1Solution:38. दिए गए प्रश्न का उत्तर ज्ञात कीजिए ? [Group D 06/10/2022 ( Afternoon )](a) 1/x²(b) 0(c) x²(d) x² – 1/x²Correct Answer: (d) x² – 1/x²Solution:39. यदि 4a + 3b = 2c है, (4a)³+(3b)³+(−2c)³ का मान ज्ञात करें। [ Group D 06/10/2022 ( Afternoon )](a) –72abc (b) 0 (c) 72abc (d) 1Correct Answer: (a) –72abc Solution:40. वह द्विघात समीकरण ज्ञात कीजिए जिसके मूल √3 + 1 और √3 – 1 हैं। [Group D 06/10/2022 ( Afternoon ) ](a) x² + 2√3 x + 2 = 0(b) x² – 2√3 x + 4 = 0(c) x² – 2√3 x + 2 = 0(d) x² + √3 x + 2 = 0Correct Answer: (c) x² – 2√3 x + 2 = 0Solution:Submit Quiz« Previous12345Next »