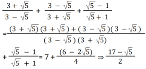
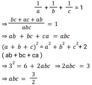
बीजगणित Part-8Total Questions: 5011. दिए गए समीकरण को हल कीजिये ? (3 + √5)/(3 − √5) + (3 − √5)/(3 + √5) + (√5 − 1)/(√5 + 1) = ? [RRB NTPC 16/02/2021 (Evening)](a) (17 − √5)/2(b) (13 − √5)/2(c) (15 − √5)/2(d) (16 − √5)/2Correct Answer: (a) (17 − √5)/2Solution:12. यदि a² + b² + c² + 3 = 2(a + b + c) तो (a + b + c) का मान क्या होगा ? [RRB NTPC 17/02/2021 (Morning)](a) 2 (b) 3(c) 5 (d) 4Correct Answer: (b) 3Solution:13. यदि x³ − 9x² − 26x − 24 = 0, तो विकल्पों में दिए गए x में से कौन सा मान दिए गए समीकरण का एक गलत समाधान प्रदान करेगा? [RRB NTPC 17/02/2021 (Evening)](a) 3 (b) 4 (c) 2 (d) 1Correct Answer: (d) 1Solution:14. यदि x² − 3x + 1 = 0 तो x² + x + (1/x) + (1/x²) का मान क्या होगा [RRB NTPC 22/02/2021 (Evening)](a) 2 (b) 10(c) 6 (d) 8Correct Answer: (b) 10Solution:15. यदि x = (√5 + 1)/(√5 − 1) और y = 1/x तो x² + y² का मान ज्ञात कीजिये ? [RRB NTPC 22/02/2021 (Evening)](a) 4 (b) 6 (c) 7(d) 5Correct Answer: (c) 7Solution:16. यदि a = 0.1 + √0.9 और b = 0.1 − √0.9 तो a² + b² का मान ज्ञात कीजिये [RRB NTPC 22/02/2021 (Evening)](a) 2.82 (b) 1.82(c) 1.9 (d) 2Correct Answer: (b) 1.82Solution:17. दिए गए प्रश्न का उत्तर ज्ञात कीजिए ? [RRB NTPC 27/02/2021 (Morning)](a) 2 + √3 (b) 2 − √3 (c) √3 / 2 (d) √3Correct Answer: (d) √3Solution:18. यदि a + b + c = 3, a² + b² + c² = 6 और 1/a + 1/b + 1/c = 1 तो a, b और c ≠ 0, तो abc = ? [RRB NTPC 27/02/2021 (Morning)](a) 1 (b) 5/2 (c) 1/2 (d) 3/2Correct Answer: (d) 3/2Solution:19. यदि a = 2b = 3c और a + b + c = 121 तब √(a² + b² + c²) क्या होगा ? [RRB NTPC 27/02/2021 (Evening)](a) 75 (b) 77(c) 73 (d) 72Correct Answer: (b) 77Solution:20. यदि x + y + z = 0 तो x²/(yz) + y²/(zx) + z²/(xy) का मान क्या होगा ? [RRB NTPC 27/02/2021 (Evening)](a) 2 (b) 4 (c) 3(d) 1Correct Answer: (c) 3Solution:Submit Quiz« Previous12345Next »