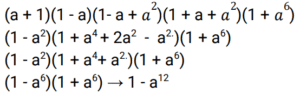
बीजगणित Part-9Total Questions: 5011. यदि (√5 + √3)/(√5 − √3) = a + b√15, तो a का मान क्या है? [RRB NTPC 21/03/2021 (Morning)](a) 5 (b) 3 (c) 4(d) 8Correct Answer: (c) 4Solution:12. जब x + y + z = 16 और xy + yz + zx = 78 है, तो x³ + y³ + z³ − 3xyz का मान ज्ञात कीजिए। [RRB NTPC 21/03/2021 (Evening)](a) 352 (b) 365 (c) 350 (d) 360Correct Answer: (a) 352 Solution:13. यदि x + y = 1, तो x³ + y³ + 3xy का मान ज्ञात कीजिए। [RRB NTPC 21/03/2021 (Evening)](a) 6 (b) 0 (c) 1(d) 2Correct Answer: (c) 1Solution:14. निम्नलिखित का मान क्या है? (a + 1)(1 − a)(1 − a + a²)(1 + a + a²)(1 + a⁶) [RRB NTPC 27/03/2021 (Morning)](a) 1 + a³⁶ (b) 1 − a³⁶ (c) 1 + a¹² (d) 1 − a¹²Correct Answer: (d) 1 − a¹²Solution:15. यदि x = a(b − c), y = b(c − a) और z = c(a − b), तो (x/a)³ + (y/b)³ + (z/c)³ का मान क्या होगा? [RRB NTPC 27/03/2021 (Morning)](a) 3xyzabc (b) 3 (c) xyz/abc (d) 3xyz/abcCorrect Answer: (d) 3xyz/abcSolution:16. यदि x² = y + z, y² = z + x, z² = x + y, तो 1/(x + 1) + 1/(y + 1) + 1/(z + 1) का मान होगा। [RRB NTPC 27/03/2021 (Morning)](a) 1 (b) 2 (c) −1 (d) 4Correct Answer: (a) 1 Solution:17. यदि α + β + γ = 0, तो α²/(βγ) + β²/(γα) + γ²/(αβ) = ? [RRB NTPC 27/03/2021 (Evening)](a) 1 (b) 3(c) 4 (d) 2Correct Answer: (b) 3Solution:18. यदि x = 2 + √2, तो x² − 4x + 4 का मान क्या होगा? [RRB NTPC 27/03/2021 (Evening)](a) 4 (b) 1 (c) 2(d) 0Correct Answer: (c) 2Solution:19. a = −5 और b = 5 के लिए a² − b² का मान है। [RRB NTPC 01/04/2021 (Morning)](a) −10 (b) 0(c) −50 (d) 100Correct Answer: (b) 0Solution:20. 8x³ + 18xy + y³ − 27 का मान क्या है जब 2x + y − 3 = 0। [RRB NTPC 01/04/2021 (Morning)](a) −27 (b) 27 (c) 0(d) 1Correct Answer: (c) 0Solution:Submit Quiz« Previous12345Next »