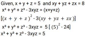
बीजगणित Part-9Total Questions: 5031. यदि 1/x + 2/3 = 1/(2x) + 3/4, तो x का मान है: [RRB NTPC 05/04/2021 (Morning)](a) 2 (b) 8 (c) 6(d) 4Correct Answer: (c) 6Solution:32. चार क्रमागत संख्याएँ इस प्रकार ज्ञात कीजिए कि पहली की दुगनी, दूसरी की तीन गुनी, तीसरी की चार गुनी और चौथी की पाँच गुनी मिलकर 236 बनती हैं। [RRB NTPC 05/04/2021 (Evening)](a) 15, 16, 17, 18(b) 19, 20, 21, 22(c) 17, 18, 19, 20(d) 18, 19, 20, 21Correct Answer: (a) 15, 16, 17, 18Solution:33. यदि x + y + z = 5 और xy + yz + zx = 8, तो x^3 + y^3 + z^3 − 3xyz का मान है। [RRB NTPC 05/04/2021 (Evening)](a) 11 (b) 7 (c) 5(d) 9Correct Answer: (c) 5Solution:34. दिए गए प्रश्न का उत्तर ज्ञात कीजिए ? [RRB NTPC 06/04/2021 (Morning)] (a)(b)(c)(d)Correct Answer: (a)Solution:35. यदि बहुपद x² + 8x + 15 के मूलों के वर्गों का योग 34 है, तो k का मान क्या होगा? [RRB NTPC 06/04/2021 (Evening)](a) 3 (b) 2 (c) −1 (d) 1Correct Answer: (d) 1Solution:36. यदि a + b + c = 5 और a² + b² + c² = 29, तो ab + bc + ca = ? [RRB NTPC 23/07/2021 (Evening)](a) −2 (b) 2 (c) −1 (d) 1Correct Answer: (a) −2 Solution:37. यदि a + b = ab, तो a : b = ? [RRB NTPC 24/07/2021 (Morning)](a) 1 : (b − 1)(b) (b − 1) : 1(c) 1 : b(d) b : 1Correct Answer: (a) 1 : (b − 1)Solution:38. दिए गए प्रश्न का उत्तर ज्ञात कीजिए ? [RRB NTPC 24/07/2021 (Evening)](a) 46656 (b) 39202(c) 42592 (d) 36752Correct Answer: (b) 39202Solution:39. निम्नलिखित को हल करें। [RRB NTPC 26/07/2021 (Morning)] (a)(b)(c)(d)Correct Answer: (b)Solution:40. यदि x/a + y/b + z/c = √3 और a/x + b/y + c/z = 0, तो x²/a² + y²/b² + z²/c² का मान ज्ञात करें। [RRB NTPC 26/07/2021 (Evening)](a) 3 (b) 0 (c) 6 (d) √3Correct Answer: (a) 3 Solution:Submit Quiz« Previous12345Next »