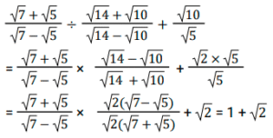
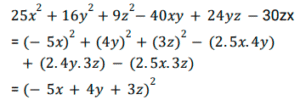
बीजगणित (SSC) (Part-IX)Total Questions: 5021. यदि समीकरण k(21x² + 24) + rx + (14x² - 9) = 0 और k(7x² + 8) + px+ (2x² – 3) = 0 में दोनों मूल उभयनिष्ठ हैं, तो का 𝑝/𝑟 मान ज्ञात कीजिए [SSC CPO 11/11/2022 (Evening)](a) 1/3(b) 2/5(c) 4/3(d) 7/5Correct Answer: (a) 1/3Solution:22. दिए गए प्रश्न का उत्तर ज्ञात कीजिए ? [SSC CGL Tier II (08/08/2022)](a) 2 + 2(b) 2√2 + 2(c) √2 + 1(d) 2√2 + 1Correct Answer: (c) √2 + 1Solution:23. दिए गए प्रश्न का उत्तर ज्ञात कीजिए ? [SSC CGL Tier II (08/08/2022)](a) 6(b) 2(c) - 6(d) - 2Correct Answer: (d) - 2Solution:24. निम्नलिखित समीकरणोंका हल क्या है ? [SSC CGL Tier II (08/08/2022)]2X + 3Y = 12 and 3X - 2Y = 5(a) X = 3, Y = 2(b) X = 2, Y = 3(c) X = - 2, Y = 3(d) X = 3, Y = - 2Correct Answer: (a) X = 3, Y = 2Solution:25. दिए गए प्रश्न का उत्तर ज्ञात कीजिए ? [SSC CGL Tier II (08/08/2022)](a) -1(b) -2(c) 1(d) 2Correct Answer: (c) 1Solution:26. दिए गए प्रश्न का उत्तर ज्ञात कीजिए ? [Graduate Level 01/08/2022 (Shift - 4)](a) 1(b) – (1/2)(c) 0(d) 3/2Correct Answer: (c) 0Solution:27. यदि (a + b) = √11 और (a - b) = √7, तो a² b² (a² + b²) का मान क्या होगा? [Graduate Level 01/08/2022 (Shift - 4)](a) 11(b) 7(c) 5(d) 9Correct Answer: (d) 9Solution:28. यदि x और y का समांतर और गुणोत्तर माध्य क्रमशः 8 और 3√7 है, तो 𝓍³ + y³ का मान ______ है। [Graduate Level 01/08/2022 (Shift - 4)](a) 1072(b) 945(c) 559(d) 855Correct Answer: (a) 1072Solution:29. बीजीय व्यंजक 25x² + 16y² + 9z² - 40xy + 24yz - 30zx निम्नलिखित में से किसके बराबर है? [Graduate Level 02/08/2022 (Shift - 3)](a) (4y + 3z - 5x)(4x + 5y - 3z)(b) (4y - 3z - 5x)(4x + 5y + 3z)(c) (4y + 3z - 5x)²(d) (4y - 3z - 5x)²Correct Answer: (c) (4y + 3z - 5x)²Solution:30. यदि xy = 6 और x²y + xy² + x + y = 63 है, तो x² + y² का मान क्या है? [Graduate Level 02/08/2022 ( Shift - 3)](a) 69(b) 59(c) 70(d) 79Correct Answer: (a) 69Solution:Submit Quiz« Previous12345Next »