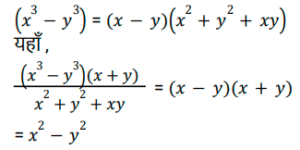
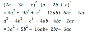
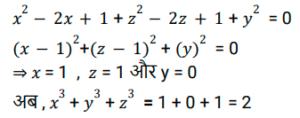
बीजगणित (SSC) (Part-V)Total Questions: 5011. दिए गए प्रश्न का उत्तर ज्ञात कीजिए ? [SSC CHSL 10/08/2023 (2nd Shift)](a) 9(b) 16(c) 4(d) 1Correct Answer: (a) 9Solution:12. यदि 2𝑥 + 5𝑦 = 15 और 𝑥𝑦 = 6, तो 4𝑥² + 25𝑦² का मान क्या है I [SSC CHSL 10/08/2023 (3rd Shift)](a) 105(b) 95(c) 100(d) 90Correct Answer: (a) 105Solution:13. दिए गए प्रश्न का उत्तर ज्ञात कीजिए ? [SSC CHSL 10/08/2023 (3rd Shift)](a) 21.042(b) 24.024(c) 21.024(d) 24.042Correct Answer: (c) 21.024Solution:14. दिए गए प्रश्न का उत्तर ज्ञात कीजिए ? [SSC CHSL 10/08/2023 (4th Shift)](a) 158(b) 157(c) 185(d) 175Correct Answer: (c) 185Solution:15. दिए गए प्रश्न का उत्तर ज्ञात कीजिए ? [SSC CHSL 10/08/2023 (4th Shift)](a) х - у(b) x² - y²(c) x + y(d) x² + y²Correct Answer: (b) x² - y²Solution:16. यदि (a + b + c) = 17 और (a² + b² + c²) = 115, तो (a + b)² + (b + c)² + (c + a)² का मान ज्ञात कीजिए। [SSC CHSL 11/08/2023 (2nd Shift)](a) 402(b) 408(c) 394(d) 404Correct Answer: (d) 404Solution:17. सरल कीजिए : (2a - 3b - c)² - (a + 2b + c)² [SSC CHSL 11/08/2023 (2nd Shift)](a) 3a² + 5b² - 16ab + 2bc - 8ac(b) 3a² + 5b² - 8ab + 2bc - 6ac(c) 3a² + 5b² - 16ab - 6ac(d) 3a² + 5b² - 16ab + 2bc - 6acCorrect Answer: (d) 3a² + 5b² - 16ab + 2bc - 6acSolution:18. दिए गए प्रश्न का उत्तर ज्ञात कीजिए ? [SSC CHSL 11/08/2023 (3rd Shift)](a) 16.8√0.39(b) 12.8√0.39(c) 16.8√0.32(d) 12.8√0.32Correct Answer: (b) 12.8√0.39Solution:19. यदि 𝓍² + y² + z² = 2(𝓍 + z - 1), तो 𝓍³ + y³ + z³ का मान किसके बराबर होगा ? [SSC CHSL 11/08/2023 (3rd Shift)](a) 6(b) 1(c) 2(d) 8Correct Answer: (c) 2Solution:20. यदि x + 3y = 6, तो x³ + 27y³ + 54xy का मान क्या है? [SSC CHSL 14/08/2023 (1st Shift)](a) 264(b) 258(c) 216(d) 220Correct Answer: (c) 216Solution:Submit Quiz« Previous12345Next »