बीजगणित (SSC) (Part-V)

Total Questions: 50

41. दिए गए प्रश्न का उत्तर ज्ञात कीजिए ? [SSC CGL 17/07/2023 (4th shift)]

Correct Answer: (c) 50/3
Solution:

42. किन्हीं दो प्राकृत संख्याओं के अंतर का घन 1728 है, जबकि दी गई इन दोनों संख्याओं का गुणनफल 108 है। दी गई इन दोनों संख्याओं के घनोंका धनात्मकअंतर ज्ञात कीजिए । [SSC CGL 18/07/2023 (1st shift)]

Correct Answer: (b) 5616
Solution:

43. यदि (𝑎 + 𝑏 + 𝑐) = 19 और (a² + b² + c²) = 155 है, तो (a - b)² + (b - c)² + (c - a)² का मान ज्ञात करें। [SSC CGL 18/07/2023 (2nd shift)]

Correct Answer: (a) 104
Solution:

44. दिए गए प्रश्न का उत्तर ज्ञात कीजिए ? [SSC CGL 18/07/2023 (3rd shift)]

Correct Answer: (a) 1
Solution:

45. किन्हीं दो प्राकृत संख्याओं के अंतर का वर्ग 324 है, जबकि दी गई दोनों संख्याओं का गुणनफल 144 है। दी गई इन दोनों संख्याओं के वर्गों का धनात्मक अंतर ज्ञात कीजिए । [SSC CGL 18/07/2023 (3rd shift)]

Correct Answer: (b) 540
Solution:

46. दिए गए प्रश्न का उत्तर ज्ञात कीजिए ? [SSC CGL 18/07/2023 (4th shift)]

Correct Answer: (c) 198
Solution:

47. दिए गए प्रश्न का उत्तर ज्ञात कीजिए ? [SSC CGL 19/07/2023 (1st shift)]

Correct Answer: (a) 140√2
Solution:

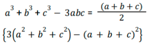
48. यदि (a + b + c) = 12 , और (a² + b² + c²) = 50 है, तो (a³ + b³ + c³ - 3abc) का मान ज्ञात कीजिए। [SSC CGL 19/07/2023 (2nd shift)]

Correct Answer: (a) 36
Solution:

49. दिए गए प्रश्न का उत्तर ज्ञात कीजिए ? [SSC CGL 19/07/2023 (2nd shift)]

Correct Answer: (d) 43/9
Solution:

50. यदि x² - 7x + 1 = 0, और 0 < x < 1 है, तो x² - (1/𝓍²) का मान क्या होगा ? [SSC CGL 19/07/2023 (3rd shift)]

Correct Answer: (b) -21√5
Solution: