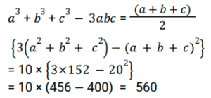
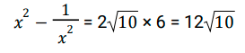
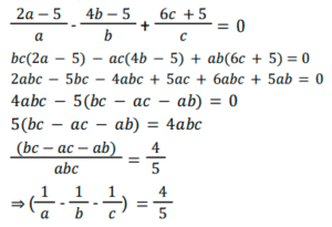
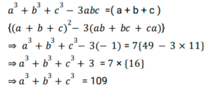
बीजगणित (SSC) (Part-VI)Total Questions: 501. दिए गए प्रश्न का उत्तर ज्ञात कीजिए ? [SSC CGL 19/07/2023 (4th shift)](a) 1(b) 2(c) 4(d) 3Correct Answer: (b) 2Solution:2. यदि (a + b + c) = 20 और 𝑎² + 𝑏² + 𝑐² = 152 है, तो 𝑎³ + 𝑏³ + 𝑐³ − 3𝑎𝑏𝑐 का मान जात कीजिए। [SSC CGL 19/07/2023 (4th shift)](a) 560(b) 640(c) 480(d) 720Correct Answer: (a) 560Solution:3. दिए गए प्रश्न का उत्तर ज्ञात कीजिए ? [SSC CGL 20/07/2023 (1st shift)](a)(b)(c)(d)Correct Answer: (b)Solution:4. दिए गए प्रश्न का उत्तर ज्ञात कीजिए ? [SSC CGL 20/07/2023 (2nd shift)](a) 1561√14(b) 1563√14(c) 1560√14(d) 1562√14Correct Answer: (a) 1561√14Solution:5. यदि a + b + c = 7, ab + bc + ca = 11 और abc = - 1 है, तो a³ + b³ + c किसके बराबर होगा ? [SSC CGL 20/07/2023 (3rd shift)](a) 101(b) 107(c) 109(d) 111Correct Answer: (c) 109Solution:6. दिए गए प्रश्न का उत्तर ज्ञात कीजिए ? [SSC CGL 20/07/2023 (4th shift)](a) 12√10(b) 18√10(c) 24√10(d) 24√10Correct Answer: (a) 12√10Solution:7. दिए गए प्रश्न का उत्तर ज्ञात कीजिए ? [SSC CGL 20/07/2023 (4th shift)](a) 24364√7(b) 24384√11(c) 24384√7(d) 12192√7Correct Answer: (c) 24384√7Solution:8. दिए गए प्रश्न का उत्तर ज्ञात कीजिए ? [SSC CGL 21/07/2023 (2nd shift)](a) 4/5(b) -(8/5)(c) 2/5(d) -(12/5)Correct Answer: (a) 4/5Solution:9. निम्नलिखित व्यंजक को सरल कीजिए । [SSC CGL 21/07/2023 (3rd shift)][(1 + P) (1 + P²) (1 + P⁴) (1 + P⁸) (1 + P¹⁶) (1 - P) - 1](a) -P³²(b) P³²(c) (1 + P³²)(d) (1 - P³²)Correct Answer: (a) -P³²Solution:10. यदि x और y धनात्मक संख्याएँहैं, जहाँ x - y = 5 और xy = 150 है, तो (x + y) का मान _______ होगा । [SSC CGL 21/07/2023 (3rd shift)](a) 45(b) 25(c) 35(d) 15Correct Answer: (b) 25Solution:Submit Quiz12345Next »