बीजगणित (SSC) (Part-VI)

Total Questions: 50

11. यदि (a - b) = 1 है, तो (a³ - b³) का मान ज्ञात कीजिए । [SSC CGL 21/07/2023 (4th shift)]

Correct Answer: (a) a² + ab + b²
Solution:

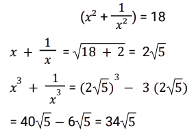
12. दिए गए प्रश्न का उत्तर ज्ञात कीजिए ? [SSC CGL 21/07/2023 (4th shift)]

Correct Answer: (d) 34√5
Solution:

13. दिए गए प्रश्न का उत्तर ज्ञात कीजिए ? [SSC CGL 24/07/2023 (1st shift)]

Correct Answer: (a) 1
Solution:

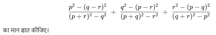
14. दिए गए प्रश्न का उत्तर ज्ञात कीजिए ? [SSC CGL 24/07/2023 (3rd shift)]

Correct Answer: (c)
Solution:

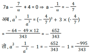
15. दिए गए प्रश्न का उत्तर ज्ञात कीजिए ? [SSC CGL 24/07/2023 (4th shift)]

Correct Answer: (a) 1
Solution:

16. दिए गए प्रश्न का उत्तर ज्ञात कीजिए ? [SSC CGL 25/07/2023 (1st shift)]

Correct Answer: (d) 5778
Solution:

17. यदि x² - 15x + 1 = 0, है, तो x⁴ - 223x² + 6 का मान क्या होगा? [SSC CGL 25/07/2023 (1st shift)]

Correct Answer: (b) 5
Solution:

18. दिए गए प्रश्न का उत्तर ज्ञात कीजिए ? [SSC CGL 25/07/2023 (2nd shift)]

Correct Answer: (a) 1
Solution:

19. सरलीकृत कीजिए । [SSC CGL 25/07/2023 (2nd shift)]

Correct Answer: (c) 1/5
Solution:

20. दिए गए प्रश्न का उत्तर ज्ञात कीजिए ? [SSC CGL 25/07/2023 (2nd shift)]

Correct Answer: (a)
Solution: