बीजगणित (SSC) (Part-VI)

Total Questions: 50

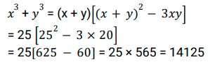
31. यदि x + y = 25 और xy = 20 है, तो 𝓍³ + y³ का मान ज्ञात कीजिए । [SSC CGL 27/07/2023 (1st shift)]

Correct Answer: (c) 14125
Solution:

32. दिए गए प्रश्न का उत्तर ज्ञात कीजिए ? [SSC CGL 27/07/2023 (2nd shift)]

Correct Answer: (c) 24√2
Solution:

33. दिए गए प्रश्न का उत्तर ज्ञात कीजिए ? [Graduate Level 27/06/2023 (Shift - 4)]

Correct Answer: (b) 76
Solution:

34. निम्नलिखित रैखिक समीकरण-निकाय का हल क्या होगा ? [Graduate Level 28/06/2023 (Shift - 3)]

3x - 9y + 4z = 5
2x + 7y + z = 12
3x - z = 0

Correct Answer: (b)
Solution:

35. यदि 2a + b = 10 और 2ab = 9 है, तो 2a - b का मान क्या है? [Graduate Level 28/06/2023 (Shift - 3)]

Correct Answer: (a) 8
Solution:

36. दिए गए प्रश्न का उत्तर ज्ञात कीजिए ? [Graduate Level 28/06/2023 (Shift - 3)]

Correct Answer: (c) 8√5
Solution:

37. दिए गए प्रश्न का उत्तर ज्ञात कीजिए ? [Graduate Level 30/06/2023 (Shift - 1)]

Correct Answer: (b) √7
Solution:

38. यदि x + y = √13 और x − y = √11 है, तो xy (𝑥² + 𝑦²) का मान ज्ञात कीजिए I [Graduate Level 30/06/2023 (Shift - 1)]

Correct Answer: (b) 6
Solution:

39. दिए गए प्रश्न का उत्तर ज्ञात कीजिए ? [Graduate Level 30/06/2023 (Shift - 1)]

Correct Answer: (a) 0
Solution:

40. A, B के अनुक्रमानुपाती है। जब A = 52, B = 91 है। तो B = 126 होने पर A का मान ज्ञात कीजिए। [Higher Secondary 27/06/2023 (Shift - 3)]

Correct Answer: (c) 72
Solution: