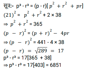
बीजगणित (SSC) (Part-VII)Total Questions: 501. यदि p + r = 21 और pr = 38, तो p³ - r³ का मान ज्ञात कीजिए [SSC CHSL 10/03/2023 (4th Shift)](a) 6538(b) 6113(c) 6102(d) 6851Correct Answer: (d) 6851Solution:2. (a + b + c) {(a - b)² + (b - c)² + (c - a)²} का मान क्या है ? [SSC CHSL 13/03/2023 (1st Shift)](a) 2a³ + 2b³ + 2c³(b) 2a³ + 2b³ + 2c³ - 6abc(c) 3abc6abcCorrect Answer: (b) 2a³ + 2b³ + 2c³ - 6abcSolution:3. दिए गए प्रश्न का उत्तर ज्ञात कीजिए ? [SSC CHSL 13/03/2023 (1st Shift)](a) 4(b) 2(c) 1(d) 0Correct Answer: (d) 0Solution:4. दिए गए प्रश्न का उत्तर ज्ञात कीजिए ? [SSC CHSL 13/03/2023 (2nd Shift)](a)(b)(c)(d)Correct Answer: (a)Solution:5. (a - 4)³ का प्रसार क्या है ? [SSC CHSL 13/03/2023 (3rd Shift)](a) a³ - 12a² + 48a + 64(b) a³ + 12a² + 48a + 64(c) a³ - 12a² + 48a - 64(c) a³ - 12a² + 48a - 64Correct Answer: (c) a³ - 12a² + 48a - 64Solution:6. यदि x - y = 8 और 8xy = 8, तो 2𝓍³ - 2y³ का मान क्या है? [SSC CHSL 13/03/2023 (4th Shift)](a) 536(b) 1092(c) 1072(d) 1608Correct Answer: (c) 1072Solution:7. यदि a³ = b³ + 988 और a - b = 4, तो 2a² + 2ab + 2b² का मान क्या है? [SSC CHSL 14/03/2023 (1st Shift)](a) 516(b) 494(c) 500(d) 247Correct Answer: (b) 494Solution:8. यदि a³ + 3a² + 3a = 63 तो a² + 2a का मान है: [SSC CHSL 14/03/2023 (2nd Shift)](a) 22(b) 19(c) 15(d) 8Correct Answer: (c) 15Solution:9. यदि a + b + c = 6 और a² + b² +c² = 40, तो a³ + b³ + c³ - 3abc का मान क्या है? [SSC CHSL 14/03/2023 (3rd Shift)](a) 212(b) 252(c) 232(d) 206Correct Answer: (b) 252Solution:10. यदि 9a + 9b + 9c = 81 और 4ab + 4bc + 4ca = 160, तो 6a² + 6b² + 6c² का मान क्या है [SSC CHSL 14/03/2023 (4th Shift)](a) 1(b) 3(c) 4(d) 6Correct Answer: (d) 6Solution:Submit Quiz12345Next »