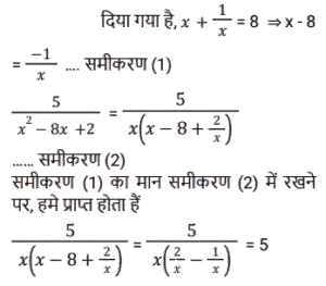
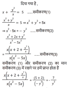
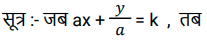
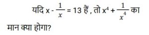
बीजगणित (SSC) (Part-VII)Total Questions: 5031. दिए गए प्रश्न का उत्तर ज्ञात कीजिए ? [SSC CGL 01/12/2022 (2nd Shift)](a) 7(b) 1(c) - 7(d) - 1Correct Answer: (b) 1Solution:32. दिए गए प्रश्न का उत्तर ज्ञात कीजिए ? [SSC CGL 01/12/2022 (2nd Shift)](a) 2542(b) 2650(c) 2452(d) 2302Correct Answer: (d) 2302Solution:33. यदि a + b = 11 और ab = 35 है, तो (a⁴ + b⁴) का मान क्या है ? [SSC CGL 01/12/2022 (3rd Shift)](a) 151(b) 261(c) 124(d) 102Correct Answer: (a) 151Solution:34. यदि x + y = 36 है, तो (𝓍 - 27)³ + (y - 9)³ का मान ज्ञात कीजिए। [SSC CGL 01/12/2022 (3rd Shift)](a) 1(b) 81(c) 2y(d) 0Correct Answer: (d) 0Solution:35. दिए गए प्रश्न का उत्तर ज्ञात कीजिए ? [SSC CGL 01/12/2022 (4th Shift)](a) 8(b) 4(c) 12(d) 5Correct Answer: (a) 8Solution:36. दिए गए प्रश्न का उत्तर ज्ञात कीजिए ? [SSC CGL 02/12/2022 (1st Shift)](a) 350(b) 345(c) 284(d) 322Correct Answer: (d) 322Solution:37. दिए गए प्रश्न का उत्तर ज्ञात कीजिए ? [SSC CGL 02/12/2022 (2nd Shift)](a) 5/y²(b) 7/y²(c) -(5/y²)(d) -(7/y²)Correct Answer: (d) -(7/y²)Solution:38. दिए गए प्रश्न का उत्तर ज्ञात कीजिए ? [SSC CGL 02/12/2022 (4th Shift)](a) 3(b) 4(c) 0(d) 5Correct Answer: (d) 5Solution:39. दिए गए प्रश्न का उत्तर ज्ञात कीजिए ? [SSC CGL 03/12/2022 (1st Shift)](a) 25(b) 36(c) 41(d) 40Correct Answer: (c) 41Solution:40. दिए गए प्रश्न का उत्तर ज्ञात कीजिए ? [SSC CGL 03/12/2022 (1st Shift)](a) 28561(b) 29243(c) 27887(d) 29239Correct Answer: (d) 29239Solution:Submit Quiz« Previous12345Next »