बीजगणित (SSC) (Part-VII)

Total Questions: 50

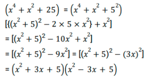
41. x⁴ + x² + 25 के गुणनखंड इनमें से कौन - से हैं ? [SSC CGL 03/12/2022 (1st Shift)]

Correct Answer: (b) (x² + 3x + 5)(x² - 3x + 5)
Solution:

42. दिए गए प्रश्न का उत्तर ज्ञात कीजिए ? [SSC CGL 03/12/2022 (2nd Shift)]

Correct Answer: (c) 2
Solution:

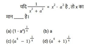
43. दिए गए प्रश्न का उत्तर ज्ञात कीजिए ? [SSC CGL 03/12/2022 (2nd Shift)]

Correct Answer: (d) 0
Solution:

44. (mx + n) निम्न में से किसका एक गुणनखंड है ? [SSC CGL 03/12/2022 (4th Shift)]

Correct Answer: (b) m² x² + 2mnx + n²
Solution:

45. दिए गए प्रश्न का उत्तर ज्ञात कीजिए ? [SSC CGL 03/12/2022 (4th Shift)]

Correct Answer: (d) 3
Solution:

46. यदि a² + b² + c² = 9 और ab + bc + ca = 8 है, तो (a + b + c) – 3 का संभावित मान क्या है? [SSC CGL 03/12/2022 (4th Shift)]

Correct Answer: (d) 2
Solution:

47. यदि a - b = 2 और a³ – b³ = 80 हो, तो ab का मान क्या होगा ? [SSC CGL 05/12/2022 (2nd Shift)]

Correct Answer: (a) 12
Solution:

48. दिए गए प्रश्न का उत्तर ज्ञात कीजिए ? [SSC CGL 05/12/2022 (2nd Shift)]

Correct Answer: (d)
Solution:

49. निम्नलिखित में से कौन सा कथन सही है ? [SSC CGL 05/12/2022 (2nd Shift)]

Correct Answer: (c) केवल I
Solution:

50. सही बीजीय व्यंजक का चयन कीजिए। [SSC CGL 05/12/2022 (3rd Shift)]

Correct Answer: (a) ab – a – b + 1 = (a – 1) (b – 1)
Solution: