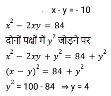
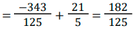
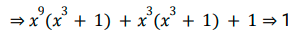
बीजगणित (SSC) (Part-VIII)Total Questions: 501. दिए गए प्रश्न का उत्तर ज्ञात कीजिए ? [SSC CGL 05/12/2022 (4th Shift)](a) 2(b) 0(c) - 1(d) 1Correct Answer: (d) 1Solution:2. यदि x² - 2xy = 84 और x - y = - 10 है, तो y का मान क्या है ? [SSC CGL 05/12/2022 (4th Shift)](a) 2(b) 1(c) 4(d) 3Correct Answer: (c) 4Solution:3. दिए गए प्रश्न का उत्तर ज्ञात कीजिए ? [SSC CGL 06/12/2022 (1st Shift)](a) 1(b) - 1(c) 0(d) - 2Correct Answer: (a) 1Solution:4. दिए गए प्रश्न का उत्तर ज्ञात कीजिए ? [SSC CGL 06/12/2022 (2nd Shift)](a) 0(b) 3(c) 1(d) 2Correct Answer: (a) 0Solution:5. यदि 4x² + y² = 40 और xy = 6 है, तो 2x + y का धनात्मक मान ज्ञात कीजिए। [SSC CGL 06/12/2022 (2nd Shift)](a) 8(b) 6(c) 5(d) 4Correct Answer: (a) 8Solution:6. यदि 2a + 3b = 10 और ab = 3 है, तो 4a² + 9b²का मान ज्ञात कीजिए । [SSC CGL 06/12/2022 (3rd Shift)](a) 60(b) 62(c) 64(d) 66Correct Answer: (c) 64Solution:7. यदि (4x - 7y) = 11 और xy = 8 है, x और y धनात्मक संख्याएं हैं, तो 16x² + 49y² का मान क्या होगा ? [SSC CGL 06/12/2022 (3rd Shift)](a) 596(b) 484(c) 569(d) 448Correct Answer: (c) 569Solution:8. दिए गए प्रश्न का उत्तर ज्ञात कीजिए ? [SSC CGL 06/12/2022 (4th Shift)](a)(b)(c)(d)Correct Answer: (d)Solution:9. दिए गए प्रश्न का उत्तर ज्ञात कीजिए ? [SSC CGL 06/12/2022 (4th Shift)](a) 496/125(b) 532/343(c) 125/532(d) 182/125Correct Answer: (d) 182/125Solution:10. दिए गए प्रश्न का उत्तर ज्ञात कीजिए ? [SSC CGL 07/12/2022 (1st Shift)](a) - 3(b) 1/3(c) -1(d) 3Correct Answer: (d) 3Solution:Submit Quiz12345Next »