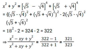
बीजगणित (SSC) (Part-VIII)Total Questions: 5021. यदि y = 1 + √3 +√4 है, तो 2y⁴ - 8y³ - 6y² + 28y - 84 का मान क्या होगा ? [SSC CGL 08/12/2022 (2nd Shift)](a) 40√3(b) 80√3(c) 20√3(d) 60√3Correct Answer: (a) 40√3Solution:22. दिए गए प्रश्न का उत्तर ज्ञात कीजिए ? [SSC CGL 08/12/2022 (2nd Shift)](a) 361/363(b) 341/343(c) 384/387(d) 321/323Correct Answer: (d) 321/323Solution:23. दिए गए प्रश्न का उत्तर ज्ञात कीजिए ? [SSC CGL 08/12/2022 (2nd Shift)](a) 10(b) 25(c) 1(d) 15Correct Answer: (b) 25Solution:24. a² = b² + (ab)² में a और b के मान के लिए कौन सा विकल्प उपयुक्त है ? [SSC CGL 08/12/2022 (3rd Shift)](a) a = sin x , b = cot x(b) a = cos x , b = tan x(c) a = cot x , b = cos x(d) a = sin x , b = tan xCorrect Answer: (c) a = cot x , b = cos xSolution:25. दिए गए प्रश्न का उत्तर ज्ञात कीजिए ? [SSC CGL 08/12/2022 (3rd Shift)](a) 5(b) 1(c) 1/5(d) (a + b + c)Correct Answer: (b) 1Solution:26. यदि 4(z + 7) (2z – 1) = Az² + Bz + Cहै, तो A + B + C का मान ज्ञात करें। [SSC CGL 08/12/2022 (3rd Shift)](a) 28(b) 32(c) 74(d) 81Correct Answer: (b) 32Solution:27. निम्नलिखित व्यंजक का गुणनखण्ड ज्ञात करें: p³ + 27 [SSC CGL 08/12/2022 (3rd Shift)](a) (p - 3) (p² - 3p + 9)(b) (p + 3) (p² + 3p + 9)(c) (p + 3) (p² - 3p + 9)(d) (p + 3) (p² - 3p - 9)Correct Answer: (c) (p + 3) (p² - 3p + 9)Solution:28. a 2 + b² + c² का मान क्या है,यदि a + b + c = 9 और ab + bc + ca = 23 है ? [SSC CGL 08/12/2022 (4th Shift)](a) 22(b) 32(c) 49(d) 35Correct Answer: (d) 35Solution:29. दिए गए प्रश्न का उत्तर ज्ञात कीजिए ? [SSC CGL 08/12/2022 (4th Shift)](a) 82(b) 76(c) 86(d) 78Correct Answer: (b) 76Solution:30. दिए गए प्रश्न का उत्तर ज्ञात कीजिए ? [SSC CGL 09/12/2022 (1st Shift)](a) 3(b) 1(c) 0(d) 2Correct Answer: (a) 3Solution:Submit Quiz« Previous12345Next »