बीजगणित (SSC) (Part-VIII)

Total Questions: 50

41. a² + b² + c² - 2ab - 2bc + 2ca मान क्या है? [SSC CGL 12/12/2022 (2nd Shift)]

Correct Answer: (b) (a - b + c)²
Solution:

42. दिए गए प्रश्न का उत्तर ज्ञात कीजिए ? [SSC CGL 12/12/2022 (2nd Shift)]

Correct Answer: (b) - 512
Solution:

43. यदि p = 8.15, q = 9.06 और r = - 17.21 है तोp³ + q³ + r³ - 3pqr का मान क्या होगा ? [SSC CGL 12/12/2022 (3rd Shift)]

Correct Answer: (d) 0
Solution:

44. दिए गए प्रश्न का उत्तर ज्ञात कीजिए ? [SSC CGL 12/12/2022 (3rd Shift)]

Correct Answer: (b) √129
Solution:

45. यदि x + y + z = 0 तथा ² + y² + z² = 40, है, तो xy + yz + zx का मान क्या है? [SSC CGL 12/12/2022 (4th Shift)]

Correct Answer: (a) -20
Solution:

46. निम्नलिखित में से कौन सा कथन सही है ? [SSC CGL 13/12/2022 (1st Shift)]

Correct Answer: (a) ना ही। ना ही ॥
Solution:

47. दिए गए प्रश्न का उत्तर ज्ञात कीजिए ? [SSC CGL 13/12/2022 (1st Shift)]

Correct Answer: (b) 3/7
Solution:

48. यदि 2p + q = 19 और 8p³ + q³ = 361 है, तो pq का मान ज्ञात कीजिए । [SSC CGL 13/12/2022 (2nd Shift)]

Correct Answer: (d) 57
Solution:

49. दिए गए प्रश्न का उत्तर ज्ञात कीजिए ? [SSC CGL 13/12/2022 (3rd Shift)]

Correct Answer: (a) 0
Solution:

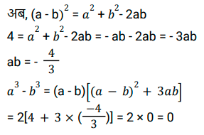
50. दिए गए प्रश्न का उत्तर ज्ञात कीजिए ? [SSC CGL 13/12/2022 (4th Shift)]

Correct Answer: (d) 22
Solution: