बीजगणित (SSC) (Part-X)

Total Questions: 50

11. यदि 8𝓍³ + 27𝓍³ + 64z³ = 72xyz, तो x, y और z के बीच संबंध ज्ञात कीजिए। [SSC CHSL 30/05/2022 (Morning)]

Correct Answer: (a) 2x + 3y = − 4z
Solution:

12. दिए गए प्रश्न का उत्तर ज्ञात कीजिए ? [SSC CHSL 30/05/2022 (Morning)]

Correct Answer: (a) 5
Solution:

13. यदि x = 9, तो 𝓍⁵ - 10𝓍⁴ + 10𝓍³ - 10𝓍² + 10𝓍 - 1 का मान ज्ञात कीजिए। [SSC CHSL 30/05/2022 (Afternoon)]

Correct Answer: (b) 8
Solution:

14. यदि p³ + 3p² + 3p = 26 है , तो p² + 2p किसके बराबर है ? [SSC CHSL 30/05/2022 (Evening)]

Correct Answer: (a) 8
Solution:

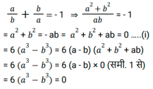
15. दिए गए प्रश्न का उत्तर ज्ञात कीजिए ? [SSC CHSL 31/05/2022 (Morning)]

Correct Answer: (c) 0
Solution:

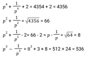
16. दिए गए प्रश्न का उत्तर ज्ञात कीजिए ? [SSC CHSL 31/05/2022 (Morning)]

Correct Answer: (a) 536
Solution:

17. यदि x + y = 14 है, तो 𝓍³ + y³ + 42𝓍y का मान क्या होगा? [SSC CHSL 31/05/2022 (Morning)]

Correct Answer: (a) 2744
Solution:

18. यदि x = 5t और y = 1/3(𝑡 + 1) है, तो t का मान ज्ञात कीजिए, जिसके लिए x = 3y है [SSC CHSL 31/05/2022 (Afternoon)]

Correct Answer: (c) 1/4
Solution:

19. दिए गए प्रश्न का उत्तर ज्ञात कीजिए ? [SSC CHSL 31/05/2022 (Afternoon)]

Correct Answer: (a) 15127
Solution:

20. (2𝑥 + 3𝑦 + 4𝑧)(4𝑥² + 9𝑦² + 16z² - 6𝑥y - 12yz - 8𝑥z) = ? [SSC CHSL 31/05/2022 (Afternoon)]

Correct Answer: (b) 8𝑥³ + 27𝑦³ + 64𝑧³ − 72𝑥𝑦
Solution: