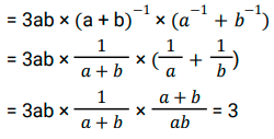
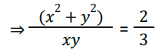
बीजगणित (SSC) (Part-X)Total Questions: 5021. सरलीकरण करें: 3𝑎𝑏 × (𝑎 + 𝑏)⁻¹ × (𝑎⁻¹ + 𝑏⁻¹) [SSC CHSL 31/05/2022 (Evening)](a) 1/(𝑎 + 𝑏)(b) 1(c) (a + b)(d) 3Correct Answer: (d) 3Solution:22. दिए गए प्रश्न का उत्तर ज्ञात कीजिए ? [SSC CHSL 31/05/2022 (Evening)](a) 69(b) 121(c) 81(d) 11Correct Answer: (d) 11Solution:23. यदि 8𝓍² + 9 + 8 = 0 है, तो 𝓍³ + (1/𝓍³) का मान ज्ञात कीजिए। [SSC CHSL 01/06/2022 (Morning)](a) 999/212(b) 199/212(c) 999/512(d) 199/512Correct Answer: (c) 999/512Solution:24. x = - 2 के संदर्भ में 𝑥² + 2𝑥 + 3 का विस्तार करें। [SSC CHSL 01/06/2022 (Afternoon)](a) (𝑥 - 2)² − 2(𝑥 + 2) + 3(b) (𝑥 + 2)² − 2(𝑥 + 2) + 3(c) (𝑥 + 2)² + 2(𝑥 + 2) + 3(d) (𝑥 - 2)² − 2(𝑥 - 2) - 3Correct Answer: (b) (𝑥 + 2)² − 2(𝑥 + 2) + 3Solution:25. दिए गए प्रश्न का उत्तर ज्ञात कीजिए ? [SSC CHSL 01/06/2022 (Afternoon)](a) 1/2(b) 1(c) 0(d) -1Correct Answer: (b) 1Solution:26. यदि 𝑥 + 𝑦 + 𝑧 = 25, 𝑥³ + 𝑦³ + 𝑧³ = 85 और xyz = 20 है, तो 𝑥² + 𝑦² + 𝑧² − 𝑥𝑦 − 𝑦𝑧 − 𝑧𝑥 का मान ज्ञात कीजिए। [SSC CHSL 01/06/2022 (Evening)](a) 2(b) 1(c) 4(d) 3Correct Answer: (b) 1Solution:27. निम्नलिखित का वर्गमूल क्या है? [SSC CHSL 02/06/2022 (Afternoon)](x² - 14x + 49) (x² + 6x + 9)(a) (x - 4)(x + 9)(b) (x - 1)(x + 17)(c) (x - 7)(x + 3)(d) (x - 3)(x + 8)Correct Answer: (c) (x - 7)(x + 3)Solution:28. दिए गए प्रश्न का उत्तर ज्ञात कीजिए ? [SSC CHSL 02/06/2022 (Afternoon)](a) 2/3(b) x² + y(c) 1(d) x + y²Correct Answer: (a) 2/3Solution:29. 𝑎² - 1 - 2x - 𝑥² के गुणनखंड ______ हैं। [SSC CHSL 02/06/2022 (Evening)](a) (a - x - 1)(a - x - 1)(b) (a + 1 + x)(a - 1 - x)(c) (a - x + 1)(a - x + 1(d) (a - x + 1)(a - x - 1)Correct Answer: (b) (a + 1 + x)(a - 1 - x)Solution:30. यदि x - 2y = 3 और 2xy = 5, तो (𝑥 + 2𝑦)² का मान ज्ञात कीजिए। [SSC CHSL 03/06/2022 (Morning)](a) 29(b) 27(c) 30(d) 28Correct Answer: (a) 29Solution:Submit Quiz« Previous12345Next »