बीजगणित (SSC) (Part-X)

Total Questions: 50

41. दिए गए प्रश्न का उत्तर ज्ञात कीजिए ? [SSC CHSL 08/06/2022 (Afternoon)]

Correct Answer: (a) 1
Solution:

42. दिए गए प्रश्न का उत्तर ज्ञात कीजिए ? [SSC CHSL 08/06/2022 (Afternoon)]

Correct Answer: (b) 55√5
Solution:

43. यदि 𝑝𝑥³ + 𝑥² + 3𝑥 + q, (x + 2) और (x - 2) सेपूर्णतः विभाज्य है, तो p और q का मान ज्ञात कीजिए। [SSC CHSL 08/06/2022 (Evening)]

Correct Answer: (d)
Solution:

44. यदि 𝑥³ + y³ = 416 और x + y = 8 है, तो 𝑥⁴ + y⁴ ज्ञात कीजिए। [SSC CHSL 08/06/2022 (Evening)]

Correct Answer: (d) 3104
Solution:

45. दिए गए प्रश्न का उत्तर ज्ञात कीजिए ? [SSC CHSL 09/06/2022 (Morning)]

Correct Answer: (c) 2
Solution:

46. दिए गए प्रश्न का उत्तर ज्ञात कीजिए ? [SSC CHSL 09/06/2022 (Morning)]

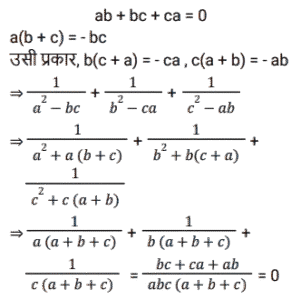
Correct Answer: (b) 0
Solution:

47. यदि (x + 2) और (x - 3), x² + k₁x + k₂ के गुणनखंड हैं, तो : [SSC CHSL 09/06/2022 (Afternoon)]

Correct Answer: (b) k₁ = -1 and k₂ = -6
Solution:

48. यदि k + 1/k = 2 हो, तो 8k × 𝑘 × 𝑘 का मान ज्ञात कीजिए। [SSC CHSL 09/06/2022 (Afternoon)]

Correct Answer: (a) 8
Solution:

49. k के किस मान (मानों) के लिए व्यंजक 𝑝 + (1/𝑝) √𝑝 + k² एक पूर्ण वर्ग होगा? [SSC CHSL 10/06/2022 (Afternoon)]

Correct Answer: (d)
Solution:

50. यदि x + y + 3 = 0 है, तो 𝑥³ + 𝑦³ − 9𝑥𝑦 + 9 का मान ज्ञात कीजिए [SSC CGL 11/04/2022 (Morning)]

Correct Answer: (a) – 18
Solution: