बीजगणित (SSC) (Part-XI)

Total Questions: 50

1. दिए गए प्रश्न का उत्तर ज्ञात कीजिए ? [SSC CGL 11/04/2022 (Afternoon)]

Correct Answer: (c) 5
Solution:

2. दिए गए प्रश्न का उत्तर ज्ञात कीजिए ? [SSC CGL 11/04/2022 (Evening)]

Correct Answer: (d) 62
Solution:

3. यदि x + y + z = 11, xy + yz + zx = – 6, और 𝓍³ + y³ + z³ = 1604, तो का मान ज्ञात कीजिए? [SSC CGL 12/04/2022 (Morning)]

Correct Answer: (a) 25
Solution:

4. यदि a² + b² + 49c² + 18 = 2 (b - 28c - a) तो (a + b - 7c) का मान क्या होगा [SSC CGL 12/04/2022 (Afternoon)]

Correct Answer: (a) 4
Solution:

5. यदि 8k⁶ + 15k³ - 2 = 0,तो (k +1/k) का धनात्मक मान है: [SSC CGL 12/04/2022 (Evening)]

Correct Answer: (a)
Solution:

6. दिए गए प्रश्न का उत्तर ज्ञात कीजिए ? [SSC CGL 12/04/2022 (Evening)]

Correct Answer: (a) 3/2
Solution:

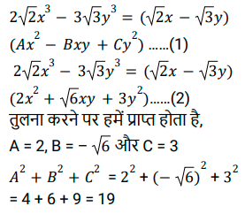
7. यदि 2√2𝑥³ - 3√3y³ = (√2𝑥 - √3𝑥) (A𝑥² - B𝑥y + Cy²) , तो (A² + B² + C²) का मान क्या होगा ? [SSC CGL 13/04/2022 (Afternoon)]

Correct Answer: (c) 19
Solution:

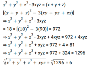
8. यदि 𝑥 + 𝑦 + 𝑧 = 18 , 𝑥𝑦𝑧 = 81 और 𝑥𝑦 + 𝑦𝑧 + 𝑧𝑥 = 90, तो ⁴√(𝑥³ + 𝑦³ + 𝑧³ + 𝑥𝑦𝑧) तो का मान क्या होगा ? [SSC CGL 13/04/2022 (Afternoon)]

Correct Answer: (a) 6
Solution:

9. यदि a + b - c = 5 और ab - bc - ac = 10, तो 𝑎² + 𝑏² + 𝑐² का मान ज्ञात करे [SSC CGL 18/04/2022 (Morning)]

Correct Answer: (b) 5
Solution:

10. दिए गए प्रश्न का उत्तर ज्ञात कीजिए ? [SSC CGL 18/4/2022 (Evening)]

Correct Answer: (d) 527
Solution: