बीजगणित (SSC) (Part-XII)

Total Questions: 51

1. यदि (56√7𝑥³ − 2√2𝑦³) ÷ (2√7𝑥 − √2y) = 𝐴𝑥² + 𝐵𝑦² − 𝐶𝑥𝑦, तो 𝐴 + 𝐵 − √14𝐶 का मान ज्ञात कीजिए। [SSC CGL 20/08/2021 (Afternoon)]

Correct Answer: (c) 58
Solution:

2. यदि x - y = 4 और x³ - y³ = 316, y > 0 तो 𝑥⁴ − 𝑦⁴ का मान है | [SSC CGL 20/08/2021 (Evening)]

Correct Answer: (b) 2320
Solution:

3. यदि 8 + 2px² - 36x - 27x³ = (2 - 3x)³ तो p का मान क्या है? [SSC CGL 23/08/2021 (Morning)]

Correct Answer: (a) 27
Solution:

4. दिए गए प्रश्न का उत्तर ज्ञात कीजिए ? [SSC CGL 23/08/2021 (Morning)]

Correct Answer: (b)
Solution:

5. दिए गए प्रश्न का उत्तर ज्ञात कीजिए ? [SSC CGL 23/08/2021 (Morning)]

Correct Answer: (d) 15/4
Solution:

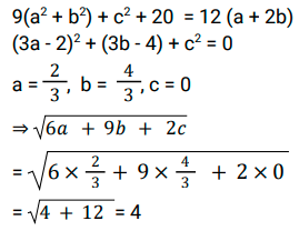
6. यदि 9(a² + b²) + c² + 20 = 12 (a + 2b), तो √(6a + 9b + 2c) का मान है: [SSC CGL 23/08/2021 (Evening)]

Correct Answer: (b) 4
Solution:

7. यदि 2x + 3y + 1 = 0, तो (8x³ + 8 + 27y³ - 18xy) का मान क्या है? [SSC CGL 24/08/2021 (Morning)]

Correct Answer: (a) 7
Solution:

8. निम्नलिखित व्यंजक को सरल कीजिए। [SSC CGL 24/08/2021 (Afternoon)]

Correct Answer: (a)
Solution:

9. यदि y = 2x + 1, तो (8x³ - y³ + 6xy) का मान क्या है ? [SSC CGL 24/08/2021 (Afternoon)]

Correct Answer: (c) -1
Solution:

10. दिया गया हैकि x⁸ - 34x⁴ +1 = 0, x > 0.(x³ - x³) का मान क्या है? [SSC CGL 24/08/2021 (Evening)]

Correct Answer: (b) 14
Solution: