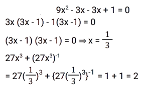
बीजगणित (SSC) (Part-XII)Total Questions: 5131. यदि 9𝑥² − 6𝑥 + 1 = 0 , तो 27𝑥³ + (27𝑥³ का मान होगा: [SSC CHSL 05/08/2021 (Afternoon)](a) 8(b) 4(c) 2(d) 1Correct Answer: (c) 2Solution:32. दिए गए प्रश्न का उत्तर ज्ञात कीजिए ? [SSC CHSL 05/08/2021 (Afternoon)](a) 3/2(b) 1/2(c) 7/2(d) 5/2Correct Answer: (c) 7/2Solution:33. यदि a + b = 24 और a² + b² = 306, जहाँ a > b, तो 4a - 5b का मान है | [SSC CHSL 05/08/2021 (Evening)](a) 18(b) 20(c) 12(d) 15Correct Answer: (d) 15Solution:34. दिए गए प्रश्न का उत्तर ज्ञात कीजिए ? [SSC CHSL 06/08/2021 (Morning)](a) 1/2(b) -3/4(c) -1/2(d) 3/4Correct Answer: (b) -3/4Solution:35. निम्नलिखित व्यंजक को सरल कीजिए। [SSC CHSL 06/08/2021 (Morning)](2𝑎 - 𝑏 - 3𝑐)(4𝑎² + 𝑏² + 9𝑐² + 2𝑎𝑏 + 6𝑎𝑐 - 3𝑏𝑐)(a) − 8𝑎³ + 𝑏³ + 27𝑐³(b) 8𝑎³ + 𝑏³ + 27𝑐³(c) 8𝑎³ − 𝑏³ − 27𝑐³ − 18𝑎𝑏𝑐(d) 8𝑎³ - 𝑏³ - 27𝑐³ + 18𝑎𝑏𝑐Correct Answer: (c) 8𝑎³ − 𝑏³ − 27𝑐³ − 18𝑎𝑏𝑐Solution:36. दिए गए प्रश्न का उत्तर ज्ञात कीजिए ? [SSC CHSL 06/08/2021 (Afternoon)](a) 7(b) ±7(c) ±4(d) 4Correct Answer: (c) ±4Solution:37. यदि (3x + 2y)³ + (3x - 2y)³ = 3kx(3x² + 4y²), तो k का मान होगा: [SSC CHSL 09/08/2021 (Morning)](a) 18(b) 9(c) 3(d) 6Correct Answer: (d) 6Solution:38. यदि 𝑥 + 𝑦 = 27 और 𝑥² - 𝑦² = 425 है तो (𝑥 − 𝑦)² का मान क्या होगा : [SSC CHSL 09/08/2021 (Afternoon)](a) 225(b) 169(c) 121(d) 144Correct Answer: (c) 121Solution:39. दिए गए प्रश्न का उत्तर ज्ञात कीजिए ? [SSC CHSL 10/08/2021 (Morning)](a) 237.6(b) 376.2(c) 273.6(d) 367.2Correct Answer: (a) 237.6Solution:40. यदि 2x + 3y + 4z = 11, 8x³ + 27y³ + 64z³ = 105, और xyz = 1, तो 4x² + 9y² + 16z² - 6xy - 12yz - 8xz का मान है | [SSC CHSL 10/08/2021 (Afternoon)](a) 3(b) 4(c) 5(d) 6Correct Answer: (a) 3Solution:Submit Quiz« Previous123456Next »