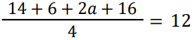
माध्य, माध्यिका और बहुलक Part-2Total Questions: 5041. दिए गए प्रश्न का उत्तर ज्ञात कीजिए ? [Level 5 (15/06/2022) Shift 2 ](a) 1(b) 3(c) 2(d) 4Correct Answer: (d) 4Solution:42. 53 से शुरू होने वाले चार संख्याओं के एक समुच्चय को सबसे छोटे से सबसे बड़े के क्रम में व्यवस्थित किया जाता है। यदि इस समुच्चय की माध्यिका 56 है, तो निम्न में से कौन सा संभवतः यह समुच्चय होगा? [Level 5 (15/06/2022) Shift 2](a) 53, 57, 61, 65(b) 53, 53, 57, 59(c) 53, 55, 57, 58(d) 53, 56, 59, 62Correct Answer: (c) 53, 55, 57, 58Solution:43. किसी निश्चित अवलोकन के माध्य और बहुलक के बीच का अंतर 69 है, तो माध्य और माध्यिका के बीच का अंतर _____ है। [Level 5 (15/06/2022) Shift 3](a) 24(b) 21(c) 23(d) 22Correct Answer: (c) 23Solution:44. यदि संख्याओं 33, x, 47, 83 और 109 का माध्य 67 है, तो 50, 64, 100, 126 और x का माध्य क्या है? [Level 5 (15/06/2022) Shift 3](a) 80.6(b) 80(c) 81.8(d) 84Correct Answer: (a) 80.6Solution:45. आँकड़ों 16, 78, 26, 91, 29, 71, 31, 46, 9, 51, 54, 56, 61, 21, 62, 65, 73, 86, 41, 89 की माध्यिका x है। मान लीजिए कि उपरोक्त आँकड़ों में 26 और 41 को क्रमशः 59 और 75 से प्रतिस्थापित करने पर प्राप्त आँकड़ों की माध्यिका y होगी। (3x − 2y) का मान कितना होगा? [Level 2 (16/06/2022) Shift 1](a) 38(b) 54(c) 49(d) 45Correct Answer: (d) 45Solution:46. यदि 14, 22, 16, 24, 12, 8, 4, 18, 12, 10 के प्रत्येक प्रेक्षण में 10 की वृद्धि कर दी जाए, तो उनका नया माध्य क्या होगा? [Level 2 (16/06/2022) Shift 1](a) 26(b) 24(c) 14(d) 16Correct Answer: (b) 24Solution:47. 12 संख्याओं को आरोही क्रम में व्यवस्थित किया गया है। यदि अंतिम 11 संख्याओं का माध्य 9 है और सभी 12 संख्याओं का माध्य 11 है, तो दूसरी संख्या का मान ज्ञात कीजिए, जो पहली संख्या से 66⅔% अधिक है। [Level 2 (16/06/2022) Shift 2](a) 54(b) 53(c) 55(d) 56Correct Answer: (c) 55Solution:48. किसी समूहित आँकड़ों के वर्ग 10–19, 20–29, 30–39, 40–49, 50–59, 60–69, 70–79, 80–89 और 90–99 के लिए, निम्न में से कौन सा वर्ग अंतराल 70–79 की ऊपरी सीमा है? [Level 2 (16/06/2022) Shift 2](a) 79(b) 70(c) 79.5(d) 69.5Correct Answer: (c) 79.5Solution:49. यदि 14, 6, 2a और 16 का माध्य 12 है, तो a का मान ज्ञात कीजिए, जहाँ a > 0 है। [Level 2 (16/06/2022) Shift 3](a) 8(b) 6(c) 5(d) 4Correct Answer: (b) 6Solution:50. 20 और 62 के बीच की सभी अभाज्य संख्याओं की माध्यिका क्या होगी? [Level 2 (16/06/2022) Shift 3](a) 38(b) 42(c) 41(d) 39Correct Answer: (b) 42Solution:Submit Quiz« Previous12345