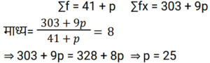
माध्य, माध्यिका और बहुलक Part-3Total Questions: 5021. निम्नलिखित प्रेक्षणों को आरोही क्रम में व्यवस्थित किया गया है। यदि आँकड़ों का माध्यिका 19 है, तो x का मान ज्ञात कीजिए। [RRB NTPC 12/01/2021 (Evening)]6, 9, 15, x + 4, x + 8, x + 12, 30, 32(a) 13(b) 10(c) 8(d) 5Correct Answer: (a) 13Solution:22. x प्रेक्षणों का समांतर माध्य m है। यदि दो प्रेक्षण 0 और m को जोड़ दिया जाए, तो नया माध्य क्या होगा? [RRB NTPC 12/01/2021 (Evening)](a)(b)(c)(d)Correct Answer: (d)Solution:23. यदि निम्नलिखित आँकड़ों का माध्य 15 है, तो k का मान ज्ञात कीजिए। [RRB NTPC 13/01/2021 (Evening)](a) 7(b) 8(c) 6(d) 10Correct Answer: (b) 8Solution:24. निम्न तालिका 40 छात्रों की एक कक्षा में विशेष आयु के छात्रों की संख्या दर्शाती है। छात्रों की औसत आयु ज्ञात कीजिए। [RRB NTPC 13/01/2021 (Evening)](a) 15.45(b) 17.45(c) 18.25(d) 16.35Correct Answer: (b) 17.45Solution:25. निम्नलिखित बंटन के लिए लुप्त बारंबारता (p) ज्ञात कीजिए, जिसका माध्य 8 है। [RRB NTPC 16/01/2021 (Morning)](a) 10(b) 12(c) 25(d) 18Correct Answer: (c) 25Solution:26. निम्नलिखित डेटा का माध्य ज्ञात कीजिए।(a) 20(b) 30(c) 28(d) 25Correct Answer: (d) 25Solution:27. एक परीक्षा में उत्तीर्ण होने का मानदंड 40% है। उपस्थित होने वाले 9 छात्रों में से 4 अनुत्तीर्ण हुए और शेष ने 80%, 55%, 52%, 66% और 81% अंक प्राप्त किए। प्रतिशत अंकों का माध्यिका कितना है? [RRB NTPC 17/01/2021 (Evening)](a) 66%(b) 52%(c) 81%(d) 58%Correct Answer: (b) 52%Solution:28. आरोही क्रम में व्यवस्थित आँकड़े 7, 11, 12, (x − y), (x + y), 20, 21, 29 की माध्यिका 16 है। x का मान ज्ञात कीजिए। [RRB NTPC 19/01/2021 (Morning)](a) 15(b) 16(c) 12(d) 14Correct Answer: (b) 16Solution:29. 4, 4, 5, 7, 6, 7, 7, 12, 3 का माध्यिका क्या है? [RRB NTPC 19/01/2021 (Evening)](a) 4(b) 7(c) 5(d) 6Correct Answer: (d) 6Solution:30. साक्षी ने 15 दिनों के लिए अपनी इंटर्नशिप के दौरान फ्रंट डेस्क पर निम्नलिखित ग्राहकों के साथ भाग लिया: [RRB NTPC 19/01/2021 (Evening)]18, 20, 16, 17, 32, 17, 6, 16, 12, 13, 17, 28, 24, 45, 17 दिए गए आँकड़ों के बहुलक और माध्यिका का औसत ज्ञात कीजिए।(a) 17(b) 19.5(c) 34(d) 18.25Correct Answer: (a) 17Solution:Submit Quiz« Previous12345Next »