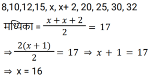
माध्य, माध्यिका और बहुलक Part-3Total Questions: 5041. दिए गए आँकड़ों के माध्य, माध्यक और बहुलक का योग ज्ञात कीजिए ? [RRB NTPC 30/01/2021 (Morning)]9, 35, 20, 25, 25, 15, 25(a) 50 (b) 47 (c) 75 (d) 72Correct Answer: (d) 72Solution:42. दिए गए प्रश्न का उत्तर ज्ञात कीजिए ? [RRB NTPC 30/01/2021 (Morning)]8, 10, 12, 15, x, x + 2, 20, 25, 30, 32(a) 19 (b) 18 (c) 17 (d) 16Correct Answer: (d) 16Solution:43. तीन धनात्मक पूर्णांक a, b और c इस प्रकार हैं कि उनका औसत 35 और a ≤ b ≤ c है। यदि माध्यिका (a + 18) है, तो c का न्यूनतम संभव मान कितना है ? [RRB NTPC 31/01/2021 (Morning)](a) 42 (b) 40 (c) 41(d) 39Correct Answer: (c) 41Solution:44. 1, 2, 3, 4 … n का संबंधित आवृत्तियों 1, 2, 3, 4 … n के साथ माध्य क्या है ? [RRB NTPC 02/02/2021 (Morning)(a) ](a)(b)(c)(d)Correct Answer: (d)Solution:45. डेटा सेट 1, 2, 3, 5, 2, 3, 4, 6, 6, 8, 3, 4, 5 के लिए निम्नलिखित में से कौन सा विकल्प गलत है ? [RRB NTPC 09/02/2021 (Morning)](a) माध्यक > बहुलक(b) माध्य = माध्यक(c) माध्यक < माध्य(d) माध्य = माध्यकCorrect Answer: (d) माध्य = माध्यकSolution:46. एक छात्र द्वारा 100 प्रेक्षणों के माध्य और मानक विचलन की गणना क्रमशः 40 और 5.1 के रूप में की गई, जिसने एक प्रेक्षण के लिए 40 के बजाय 50 लिया। सही माध्य और मानक विचलन क्या है ? [RRB NTPC 10/02/2021 (Evening)](a) 39.9, 5(b) 39.09, 5(c) 39.9, 50(d) 39.0, 5Correct Answer: (a) 39.9, 5Solution:47. 4 क्विज के बाद निखिल का गणित में औसत स्कोर 95 है। फिर उसने अगले गणित प्रश्नोत्तरी में 0 अंक प्राप्त किया। नया माध्य स्कोर कितना है ? [RRB NTPC 11/02/2021 (Morning)](a) 67.2 (b) 76(c) 76.2 (d) 67Correct Answer: (b) 76Solution:48. पृथ्वी पर पाए जाने वाले पाँच उल्कापिंडों का द्रव्यमान 23.5 kg, 15 kg, 20 kg, 22 kg और 16 kg है। इस डेटा के लिए, निम्नलिखित में से किसका मान 19.3 kg है ? [RRB NTPC 11/02/2021 (Morning)](a) बहुलक (b) माध्य विचलन (c) माध्य(d) माध्यकCorrect Answer: (c) माध्यSolution:49. a और b का माध्य 350 है और a और b का अनुपात 2 : 5 है। b − a का मान क्या होता है ? [RRB NTPC 12/02/2021 (Morning)](a) 400 (b) 330 (c) 300(d) 325Correct Answer: (c) 300Solution:50. 6 संख्याओं का माध्य 18 है। यदि एक और संख्या शामिल कर ली जाए, तो 7 संख्याओं का माध्य 20 हो जाएगा। इसमें सम्मिलित संख्या क्या है ? [RRB NTPC 15/02/2021 (Morning) ](a) 10(b) 20(c) 32(d) 30Correct Answer: (c) 32Solution:Submit Quiz« Previous12345