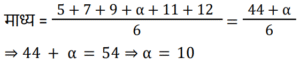
माध्य, माध्यिका और बहुलक Part-4Total Questions: 5021. एक बारंबारता बंटन में, यदि वर्ग का मध्य मान 35 है और निचली सीमा का मान 30 है, तो इसकी ऊपरी सीमा का मान है: [RRB NTPC 09/03/2021 (Evening)](a) 30(b) 10(c) 40(d) 20Correct Answer: (c) 40Solution:22. यदि किसी श्रेणी का बहुलक उसके माध्य से 9 अधिक है, तो बहुलक और माध्यक के बीच का अंतर ज्ञात कीजिए। [RRB NTPC 11/03/2021 (Morning)](a) 10(b) 6(c) 8(d) 4Correct Answer: (b) 6Solution:23. एक बारंबारता बंटन में प्रेक्षणों 2, 4, 8, 7 और 5 की बारंबारता क्रमशः 5, 3, 2, 6 और 4 है। इस आँकड़ों का समांतर माध्य ज्ञात कीजिए। [RRB NTPC 11/03/2021 (Evening)](a) 5(b) 23(c) 25(d) 24Correct Answer: (a) 5Solution:24. निम्नलिखित डेटा के लिए मानक विचलन की गणना करें। [RRB NTPC 12/03/2021 (Morning)]4, 7, 9, 10, 15(a) 2.733 (b) 3.133 (c) 3.533 (d) 3.633Correct Answer: (d) 3.633Solution:25. निम्नलिखित डेटा के लिए मानक विचलन की गणना करें। [RRB NTPC 14/03/2021 (Morning)]3, 4, 5, 6, 7(a) √6 (b) √3 (c) √2(d) 2Correct Answer: (c) √2Solution:26. 5 प्रेक्षणों का माध्य 20 है। यदि एक और प्रेक्षण जोड़ दिया जाए, तो माध्य 2 बढ़ जाता है। जोड़े गए छठे प्रेक्षण का मान क्या है? [RRB NTPC 14/03/2021 (Evening)](a) 22 (b) 32(c) 42 (d) 52Correct Answer: (b) 32Solution:27. मध्यम विषम वितरण में बहुलक और माध्य के मान क्रमशः 25.2 और 27.5 हैं। बंटन की माध्यिका का मान ज्ञात कीजिए। [RRB NTPC 15/03/2021 (Morning)](a) 26.73 (b) 26.20 (c) 26.75 (d) 26.70Correct Answer: (a) 26.73 Solution:28. यदि छः प्रेक्षण 5, 7, 9, α, 11 और 12 का माध्य 9 है, तो α का मान है: [RRB NTPC 15/03/2021 (Evening)](a) 12 (b) 15 (c) 16 (d) 10Correct Answer: (d) 10Solution:29. सात प्रेक्षण 6, 7, 10, 12, 13, 8, 14 का प्रसरण (variance) है। [RRB NTPC 19/03/2021 (Morning)](a) 9 (b) 9.25 (c) 8.50 (d) 8.29Correct Answer: (d) 8.29Solution:30. निम्नलिखित डेटा सेट के माध्य और माध्यिका के बीच अंतर ज्ञात कीजिए: [RRB NTPC 21/03/2021 (Morning)]2, 3, 4, 5, 5, 8, 8(a) 3 (b) 1 (c) 2 (d) 0Correct Answer: (d) 0Solution:Submit Quiz« Previous12345Next »