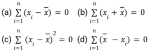
माध्य, माध्यिका और बहुलक Part-4Total Questions: 5041. निम्नलिखित संख्याओं के समूह के लिए माध्यिका और बहुलक ज्ञात कीजिए। [RRB NTPC 07/04/2021 (Evening)]2, 2, 3, 5, 5, 5, 6, 8, 9(a) माध्यिका = 5, मोड = 5(b) माध्यिका = 0, मोड = 9(c) माध्यिका = 2, मोड = 5(d) माध्यिका = 5, मोड = 2Correct Answer: (a) माध्यिका = 5, मोड = 5Solution:42. x और y का माध्य 400 है और x से y का अनुपात 3 : 7 है। y − x का मान क्या है? [RRB NTPC 07/04/2021 (Evening)](a) 130 (b) 800 (c) 320(d) 230Correct Answer: (c) 320Solution:43. निम्नलिखित आँकड़ों का माध्यिका क्या है? [RRB NTPC 08/04/2021 (Morning)]78, 56, 22, 34, 45, 54, 39, 68, 54, 84(a) 55 (b) 51 (c) 54(d) 53Correct Answer: (c) 54Solution:44. x + 77, x + 7, x + 5, x + 3 और x − 2 का माध्य ज्ञात कीजिए। [RRB NTPC 08/04/2021 (Morning)](a) x − 3 (b) x + 8 (c) x − 8 (d) x + 18Correct Answer: (d) x + 18Solution:45. यदि संख्याओं के एक समूह का मानक विचलन 3 है और इन संख्याओं का समांतर माध्य 6 है, तो इन संख्याओं की भिन्नता का गुणांक क्या है? [RRB NTPC 08/04/2021 (Morning)](a) 125 (b) 75 (c) 50(d) 100Correct Answer: (c) 50Solution:46. यदि निम्नलिखित बंटन का माध्य 26 है, तो k का मान क्या है? [RRB NTPC 08/04/2021 (Evening)](a) 8 (b) 1 (c) 4(d) 10Correct Answer: (c) 4Solution:47. 2, 4, 5, 8, 2 और 3 संख्याओं का माध्य m है। संख्या 4, 3, 3, 5, m, 3 और p का माध्य m + 1, माध्यिका q और बहुलक r है। (p + q − r) का मान क्या है? [RRB NTPC 08/04/2021 (Evening)](a) 13 (b) 21 (c) 20 (d) 14Correct Answer: (d) 14Solution:48. यदि x₁, x₂, x₃ … , xₙ प्रेक्षणों का माध्य x̄ है, तो: [RRB NTPC 24/07/2021 (Morning)](a)(b)(c)(d)Correct Answer: (a)Solution:49. दिए गए प्रेक्षणों का माध्य x + 1, x + 3, x + 5, x + 7 और x + 9 है, तो x का मान है: [RRB NTPC 24/07/2021 (Morning)](a) 5 (b) 6 (c) 3 (d) 1Correct Answer: (d) 1Solution:50. निम्न तालिका में बारंबारता बंटन दिया गया है जिसका समांतर माध्य 33 है। बंटन से k के संभावित मानों का गुणनफल ज्ञात कीजिए। [RRB NTPC 24/07/2021 (Evening)](a) 4 (b) 3 (c) 5 (d) 2Correct Answer: (d) 2Solution:Submit Quiz« Previous12345