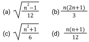
माध्य, माध्यिका और बहुलक Part-5Total Questions: 201. यदि ⁿC₃ = ⁿC₈, तो n का मान ज्ञात करें। [RRB NTPC 26/07/2021 (Evening)](a) 12 (b) 10 (c) 14 (d) 11Correct Answer: (d) 11Solution:2. निम्नलिखित विभिन्न मानों की माध्यिका (median) ज्ञात कीजिए। [RRB JE 27/05/2019 (Afternoon)](a + 4), (a − 3.5), (a − 2.5), (a − 3), (a − 2),(a + 0.5), (a + 5) और (a − 0.5)(a) a − 0.75(b) a − 1.5(c) a − 1.25(d) a − 2.5Correct Answer: (c) a − 1.25Solution:3. अवरोही क्रम में लिखे गए दस प्रेक्षण 45, 34, 32, 30, 2x − 13, x + 1, 17, 15, 14, 8 की माध्यिका (median) 24 है। x का मान ज्ञात करें। [RRB JE 28/05/2019 (Morning)](a) 15 (b) 20(c) 12 (d) 18Correct Answer: (b) 20Solution:4. प्रथम ‘n’ प्राकृतिक संख्याओं का मानक विचलन ज्ञात करें। [RRB JE 02/06/2019 (Afternoon)](a)(b)(c)(d)Correct Answer: (a)Solution:5. यदि किसी कक्षा का माध्य मान 20 है और कक्षा का प्रसार (width) 5 है, कक्षा की निचली और ऊपरी सीमाएं ज्ञात करें। [RRB JE 02/06/2019 (Evening)](a) 17 – 22(b) 17.5 – 22.5(c) 17 – 23(d) 18 – 22Correct Answer: (b) 17.5 – 22.5Solution:6. x, x + 3, x + 5, x + 7, x + 10 का माध्य (mean) 9 है। पहले 3 प्रेक्षणों का माध्य ज्ञात कीजिए। [RRB JE 28/06/2019 (Evening)](a) 7 (b) 6.66(c) 7.8 (d) 7.3Correct Answer: (b) 6.66Solution:7. 1, 4, 9, x, 12, 14, 15 और 16 का माध्य 10 है। बहुलक ज्ञात कीजिए। [ALP Tier II 21/01/2019 (Afternoon)](a) 10 (b) 11 (c) 9 (d) 12Correct Answer: (c) 9 Solution:8. पहली 100 प्राकृतिक संख्याओं का माध्य ज्ञात कीजिए? [ALP Tier II 21/01/2019 (Afternoon)](a) 50 (b) 51.5 (c) 50.5(d) 51Correct Answer: (c) 50.5Solution:9. 2, 5, 8, 14, 21 का माध्य (mean) ज्ञात कीजिए? [ALP Tier II 21/01/2019 (Morning)](a) 9 (b) 10(c) 9.5 (d) 8.5Correct Answer: (b) 10Solution:10. यदि संख्याओं 9, 15, 1, 15, 14, 9, 4 और x की माध्यिका 11 है, तो x का मान ज्ञात कीजिए। [ALP Tier II 23/01/2019 (Afternoon)](a) 11 (b) 13(c) 10 (d) 12Correct Answer: (b) 13Solution:Submit Quiz12Next »